Последнее обновление :
27/04/2026
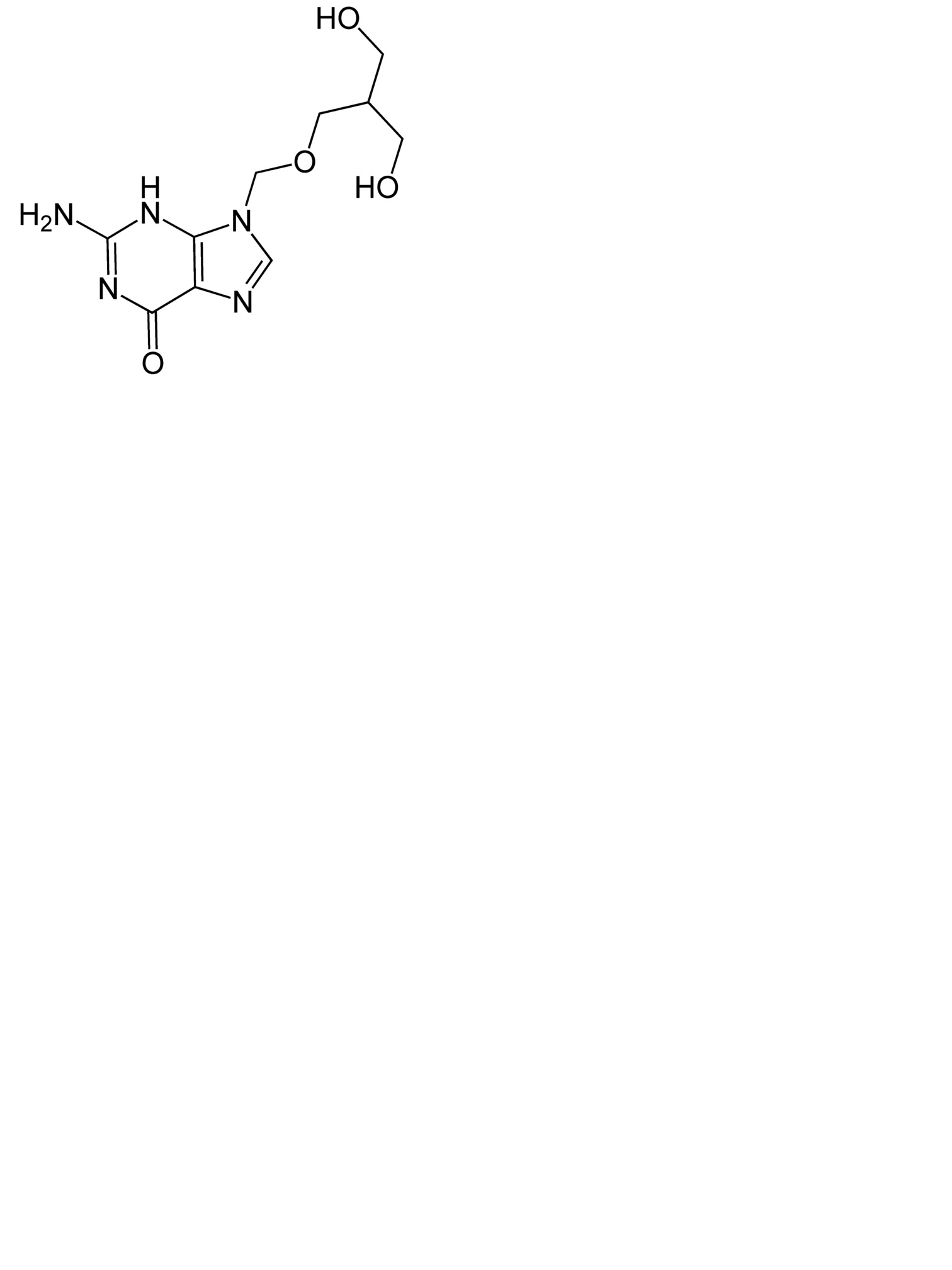
Противовирусное средство   Ganciclovir  
Глазные капли
Стабильность фармацевтических препаратов Стабильность смесей Факторы, которые влияют на стабильность Совместимость Библиография pdf
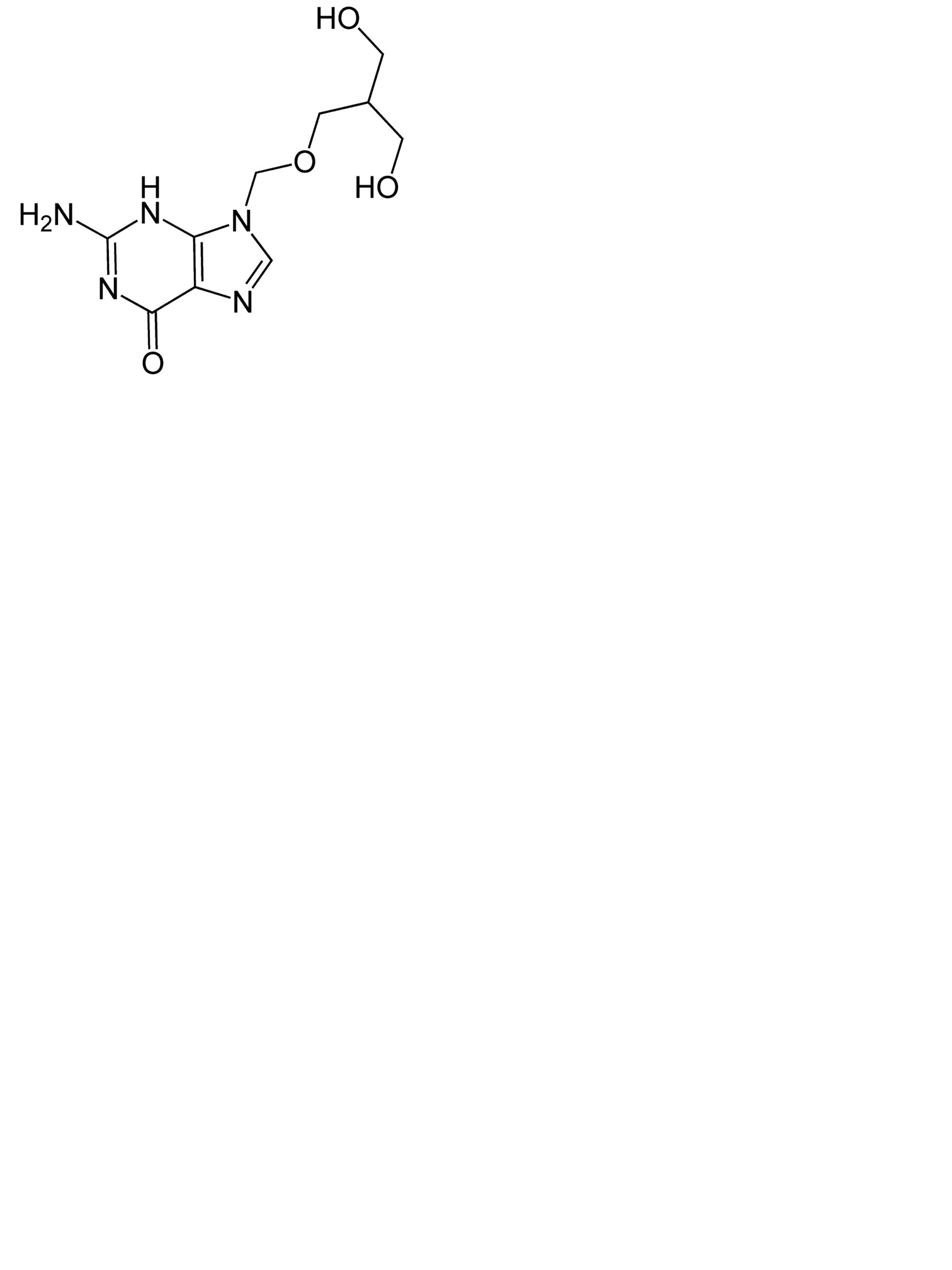
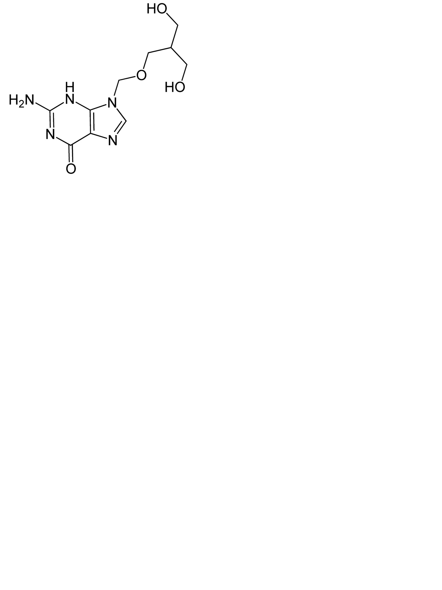
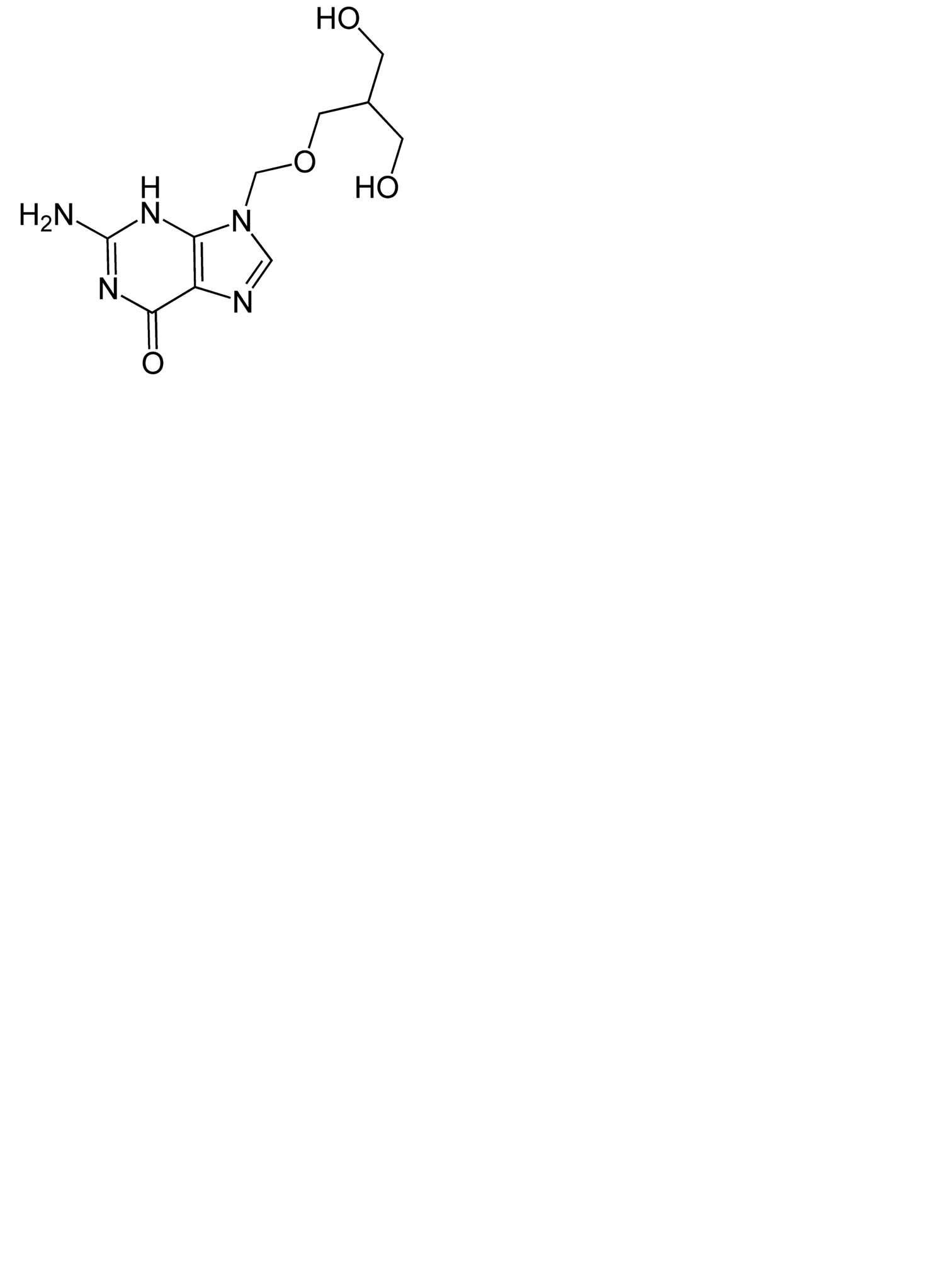
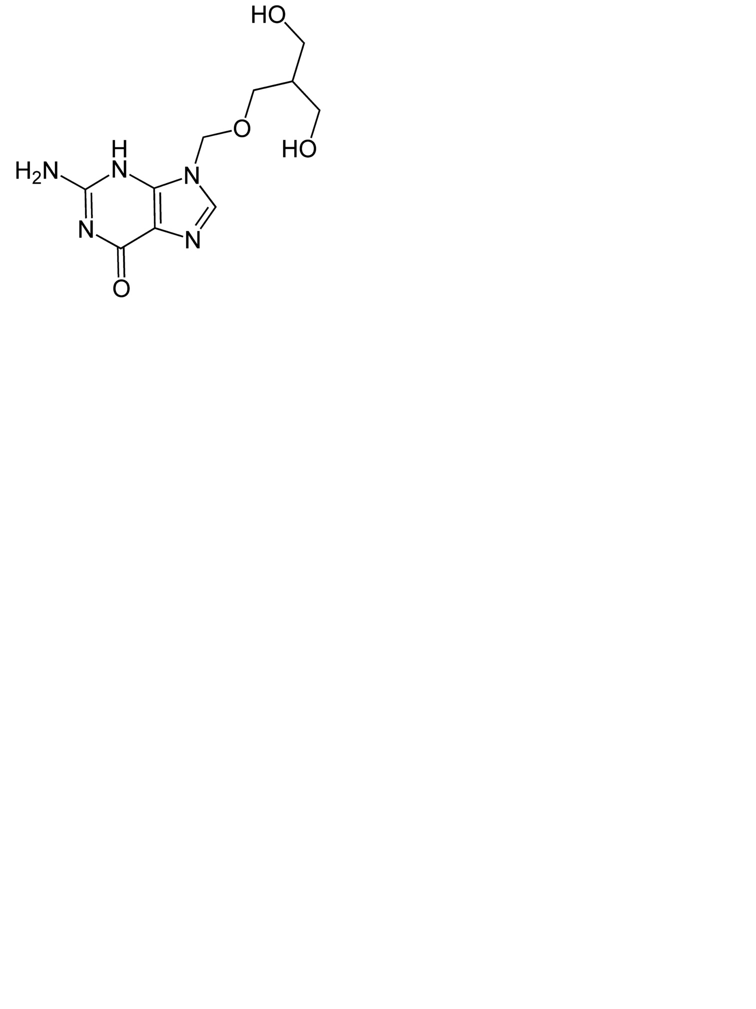
   Химическая структура  

Глазные капли
Стабильность смесей   Глазные капли   Стабильность смесей : Ganciclovir     
данных нет

  Mentions Légales