viimane versioon :
27/11/2025
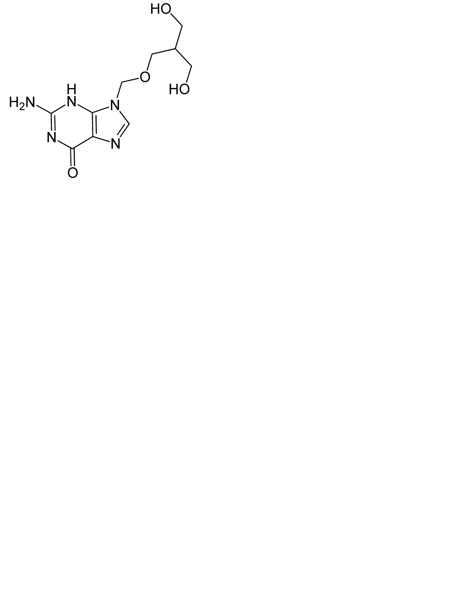
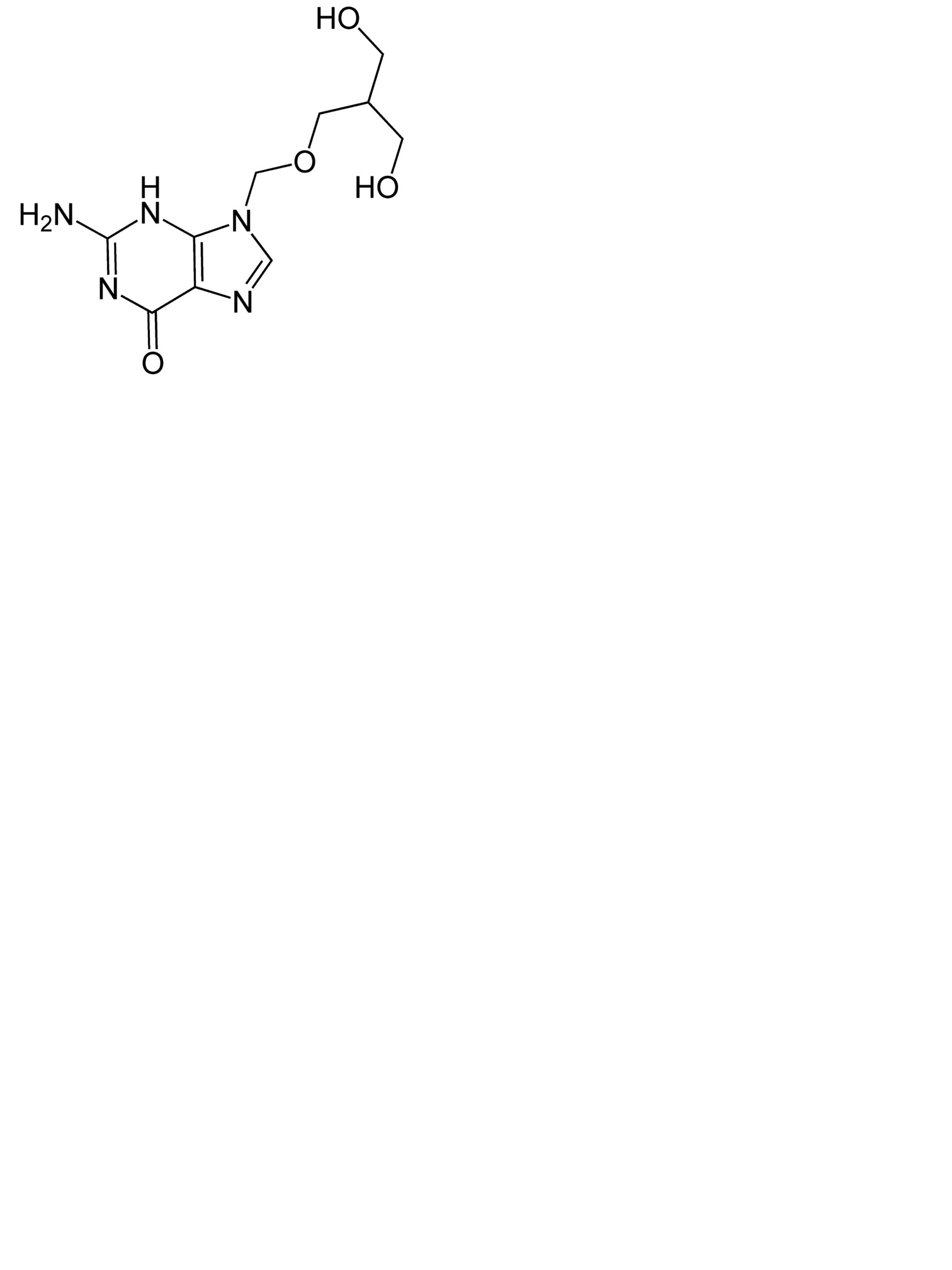
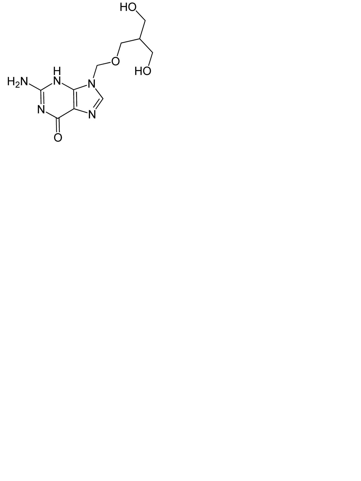
Viirusevastane ravim   Ganciclovir  
Silmatilgad
Stabiilsust ravimpreparaadid Stabiilsust mõjutavad tegurid stabiilsust mõjutavad faktorid Sobimatus Viited pdf
   keemiline struktuur  

Silmatilgad
Stabiilsust mõjutavad tegurid   Silmatilgad   Stabiilsust mõjutavad tegurid : Ganciclovir     
andmed puuduvad

  Mentions Légales