Ostatnia aktualizacja :
27/11/2025
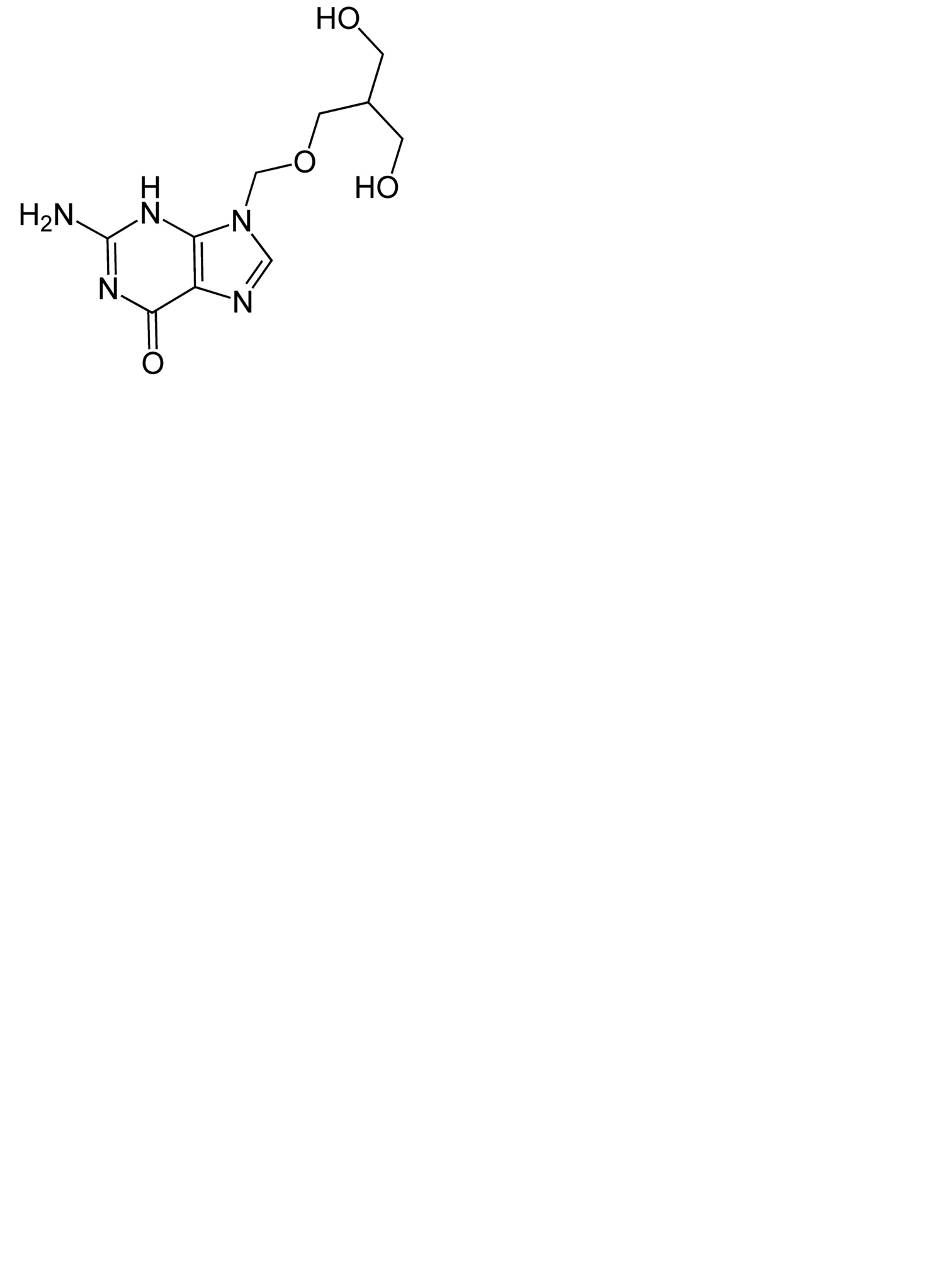
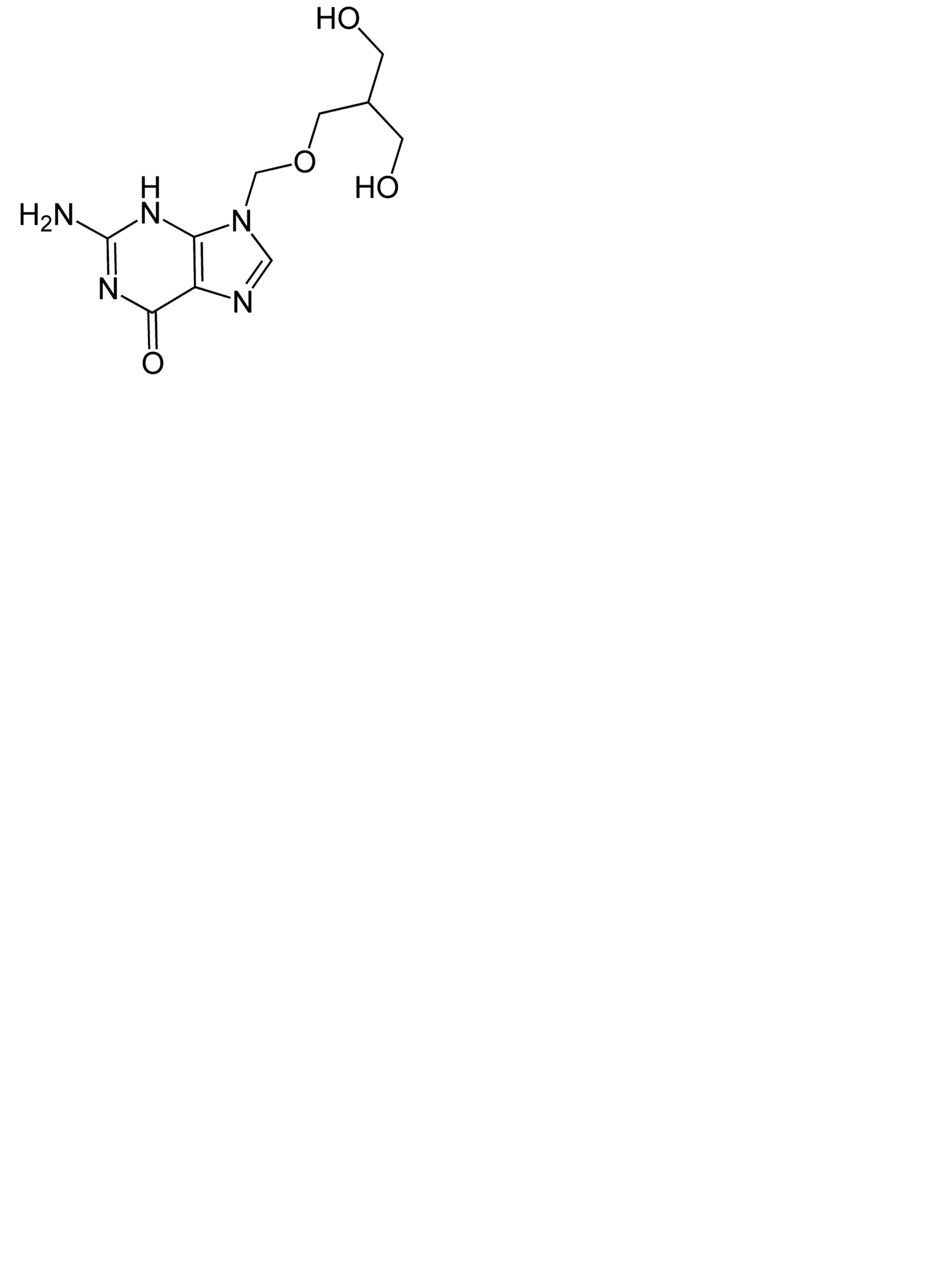
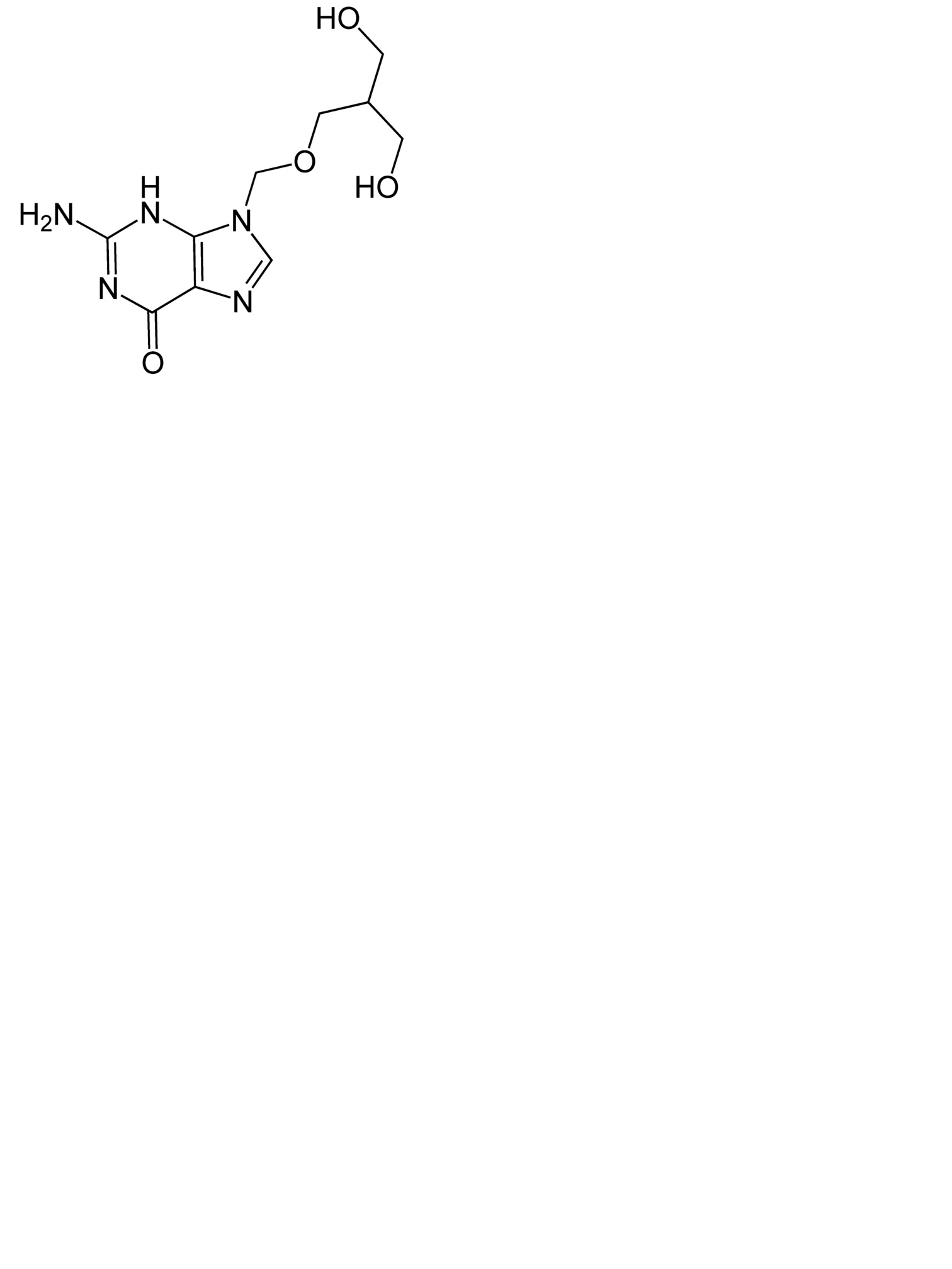
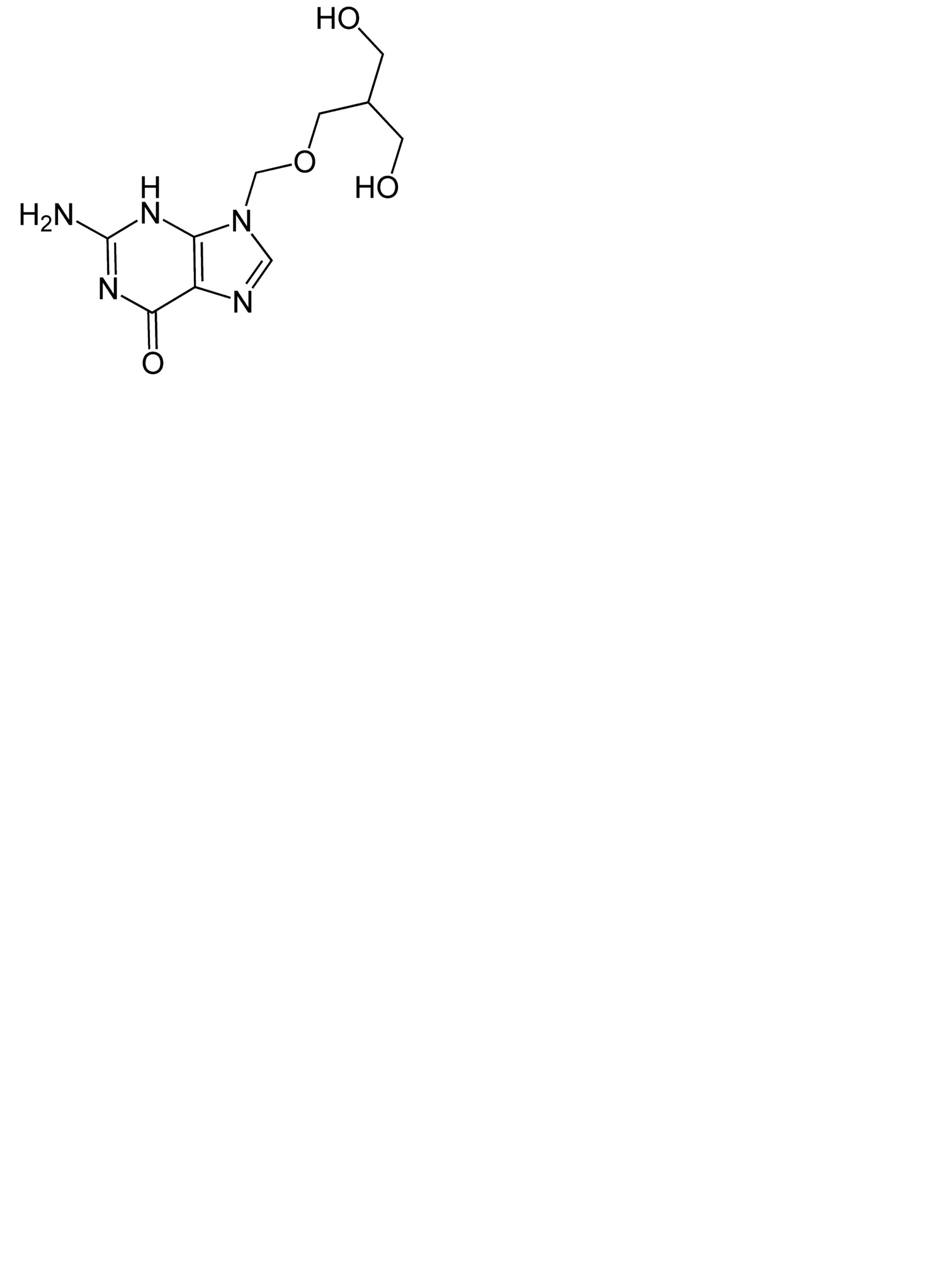
Lek przeciwwirusowy   Ganciclovir  
Krople oczne
Stabilność preparatów farmaceutycznych Trwałość w mieszaninie Czynnik wpływający na trwałość Zgodność Bibliografia pdf
   Struktura chemiczna  

Krople oczne
Trwałość w mieszaninie   Krople oczne   Trwałość w mieszaninie : Ganciclovir     
Brak danych

  Mentions Légales