Τελευταία ενημέρωση :
18/03/2026
Αντιιικό   Ganciclovir  
Οφθαλμικές σταγόνες
Σταθερότητα και συμβατότητα των φαρμάκων Σταθερότητα σε μίγματα Παράγοντας που επηρεάζει τη σταθερότητα Συμβατότητες Βιβλιογραφία pdf
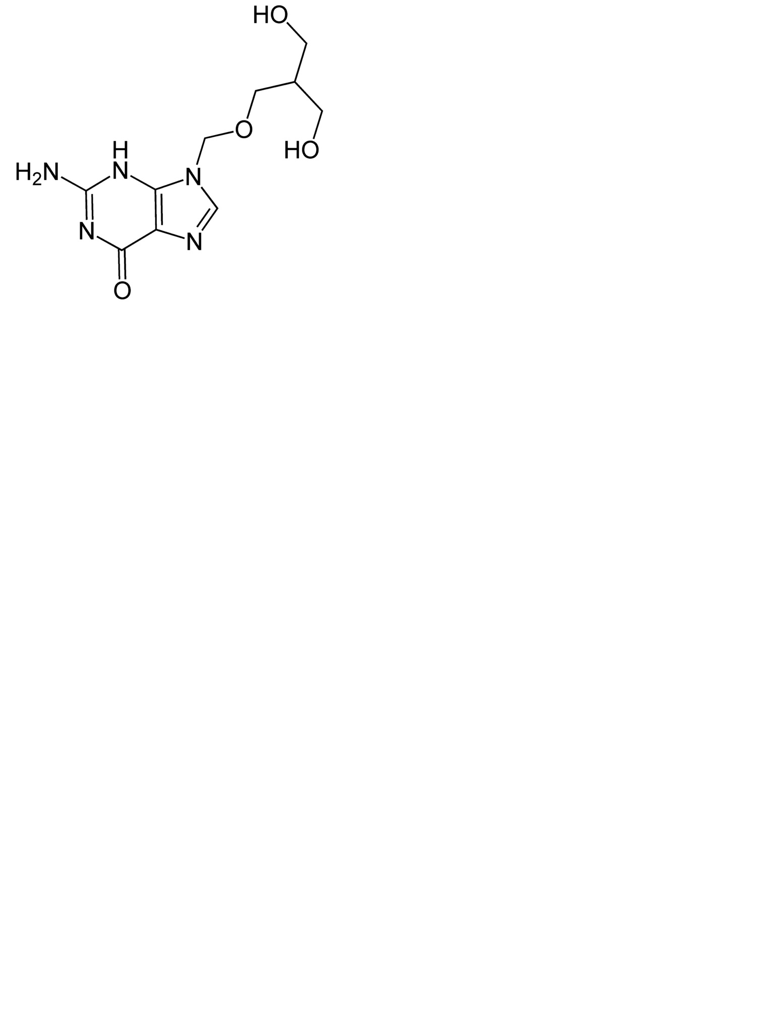
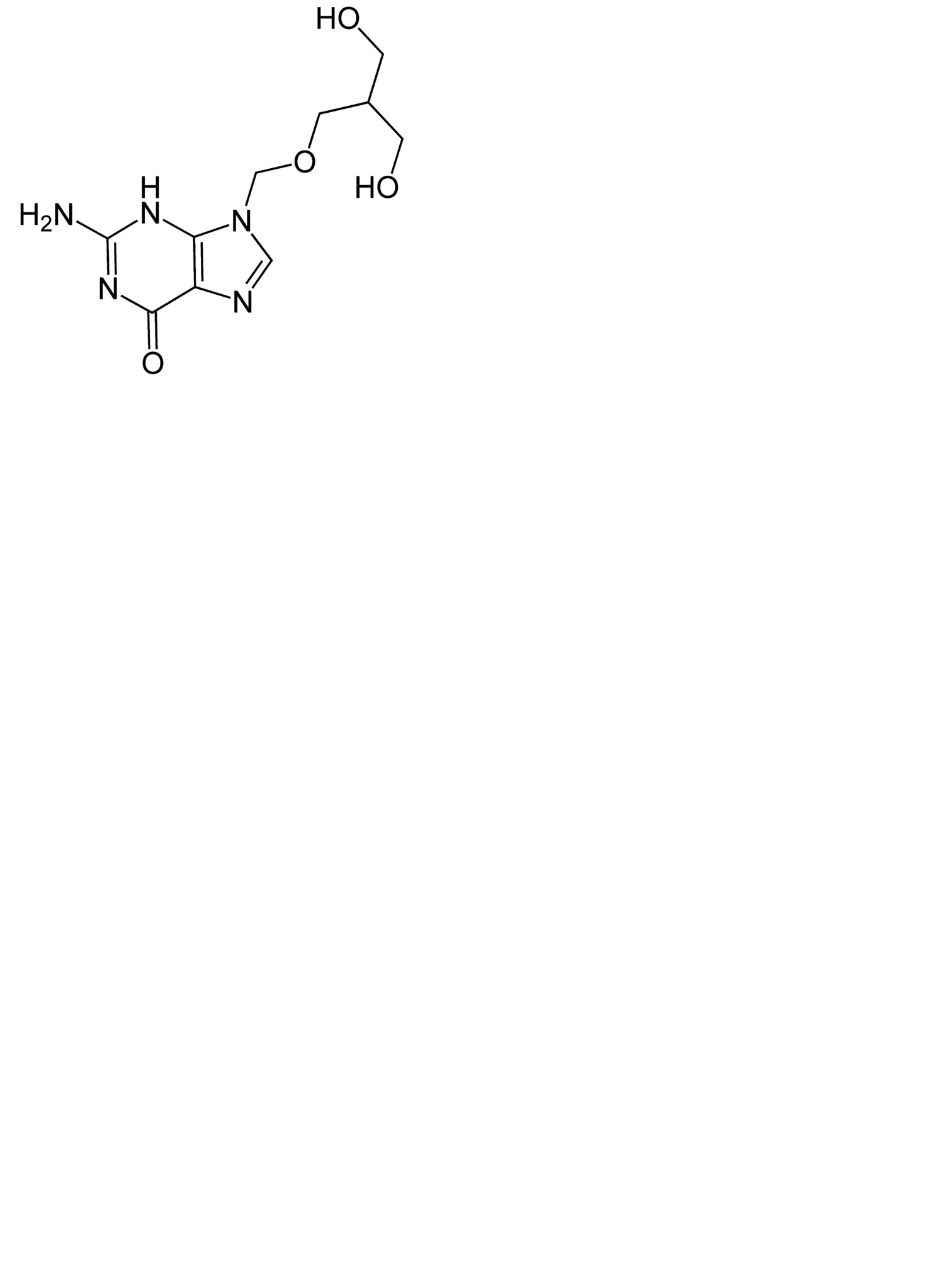
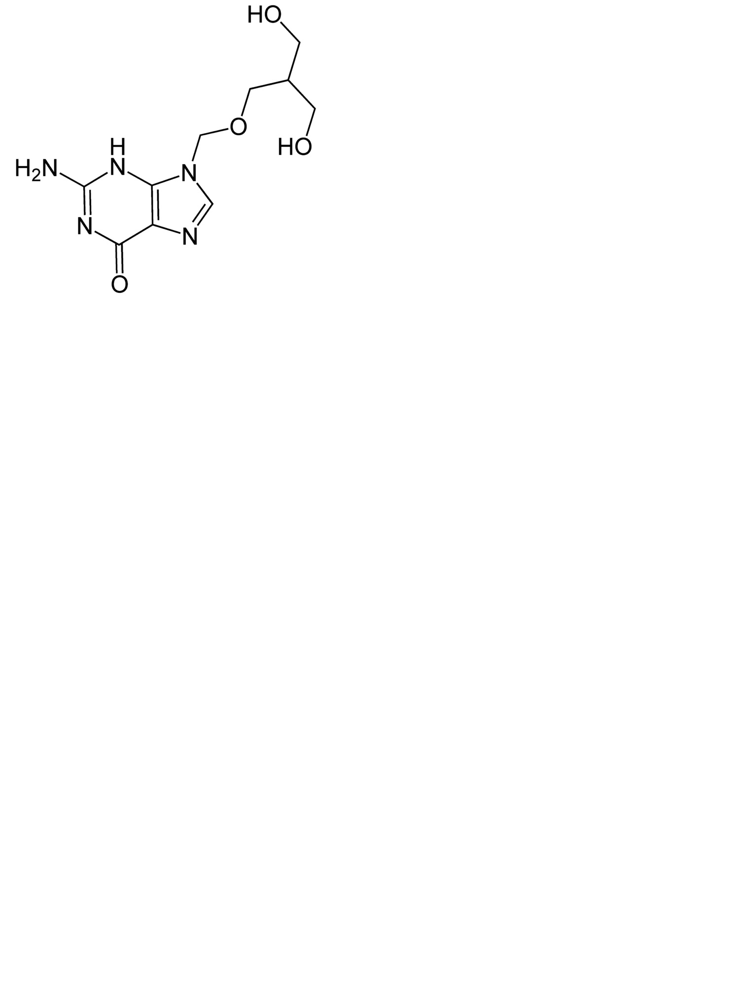
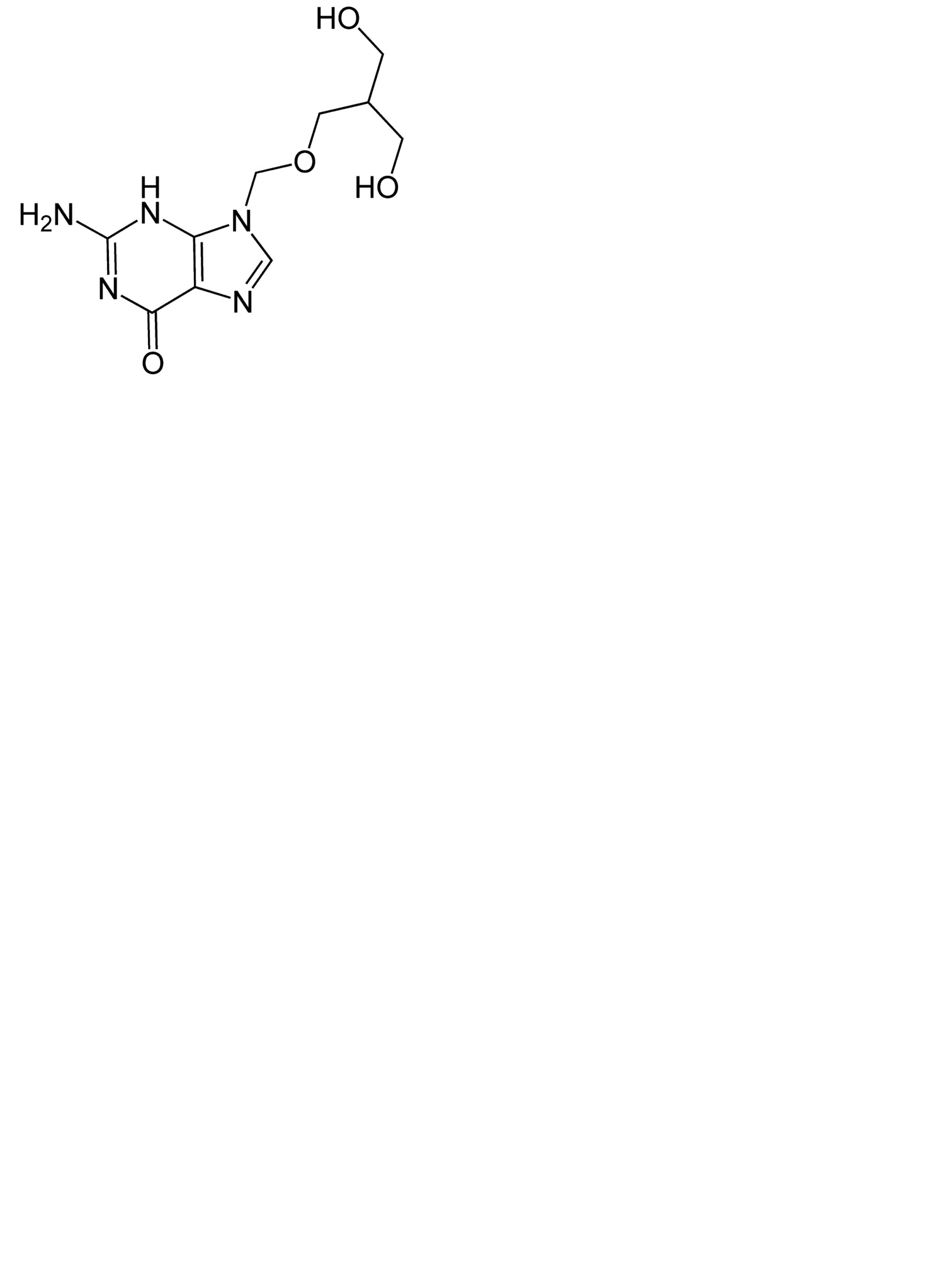
   χημική δομή  

Οφθαλμικές σταγόνες
Σταθερότητα σε μίγματα   Οφθαλμικές σταγόνες   Σταθερότητα σε μίγματα : Ganciclovir     
Δεν υπάρχουν πληροφορίες

  Mentions Légales