Last update :
27/11/2025
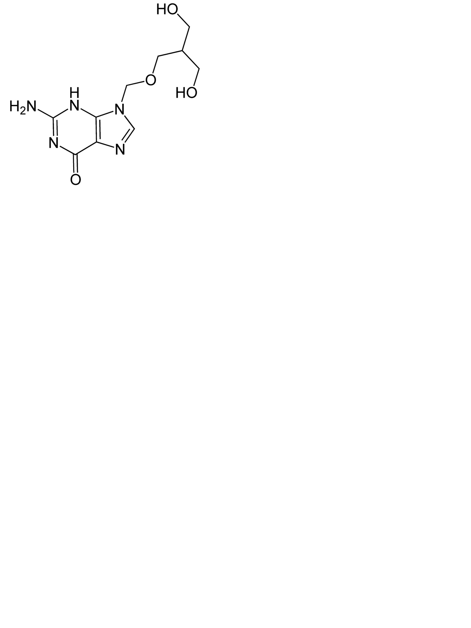
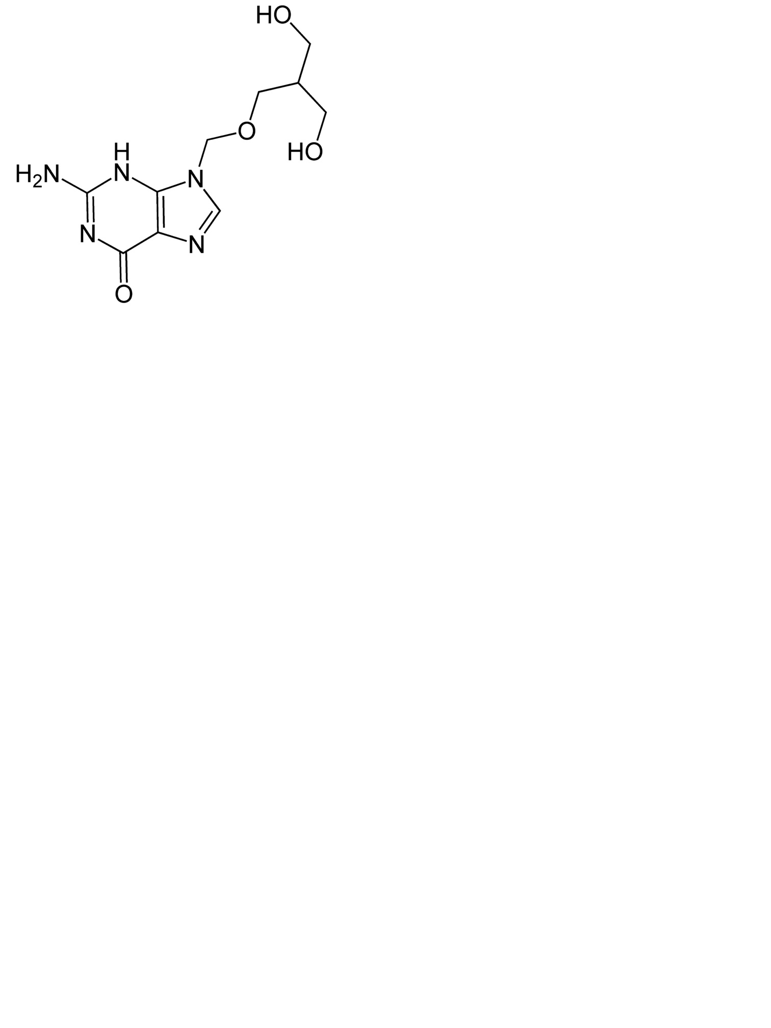
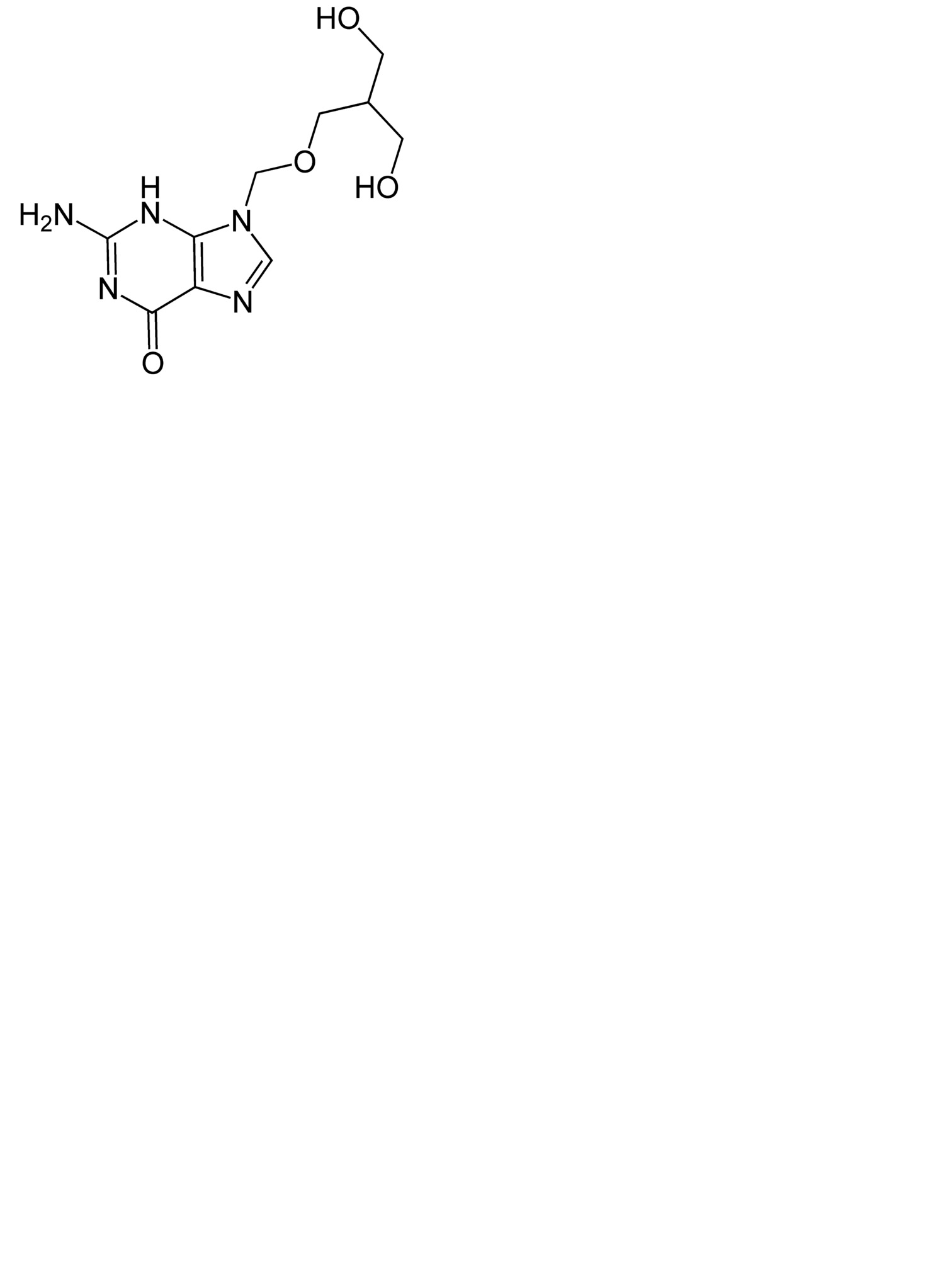
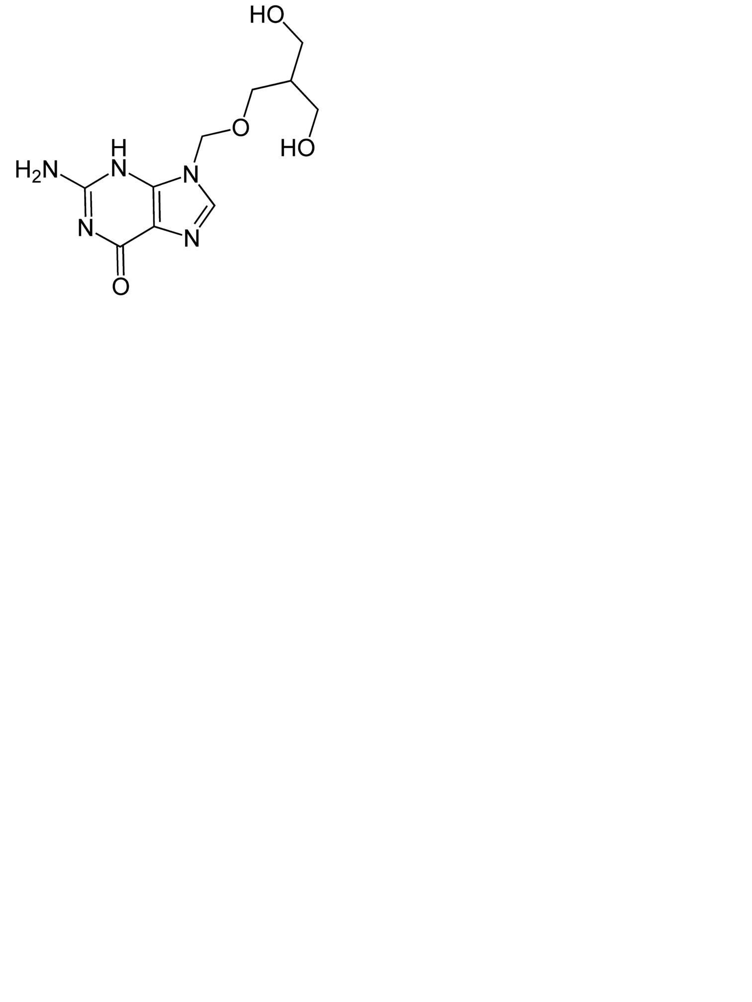
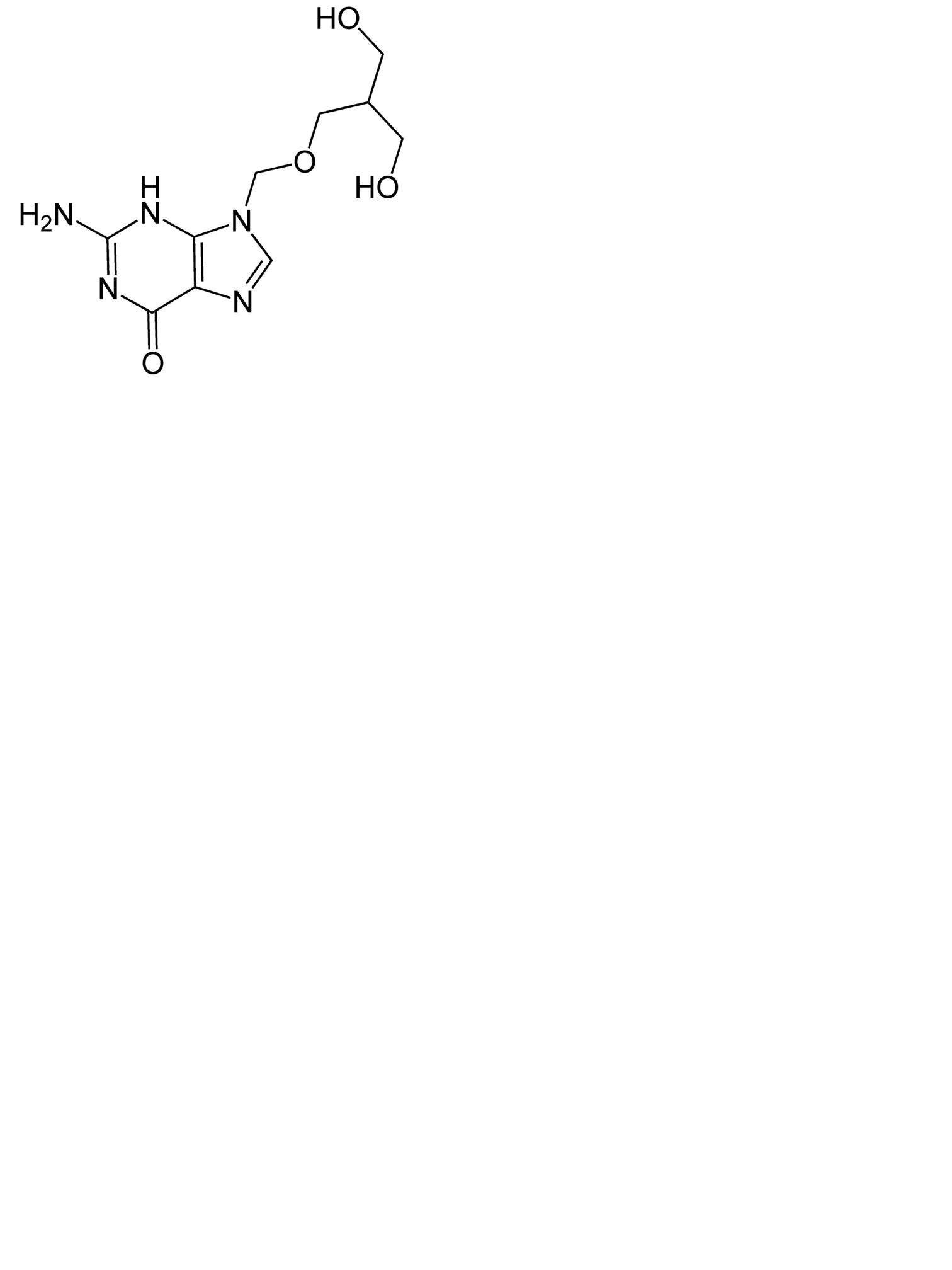
Antiviral   Ganciclovir  
Eye-drops
Stability of pharmaceutical preparations Stability of mixtures Factors which affect stability Compatibility References pdf
   Chemical structure  

Eye-drops
Stability of mixtures   Eye-drops   Stability of mixtures : Ganciclovir     
No data

  Mentions Légales