Última actualización :
12/02/2026
Varios   Quetiapine fumarate  
Solución Oral
La estabilidad de las preparaciones farmacéuticas Estabilidad en mezcla Factores que influyen sobre la estabilidad Compatibilidades Bibliografía pdf
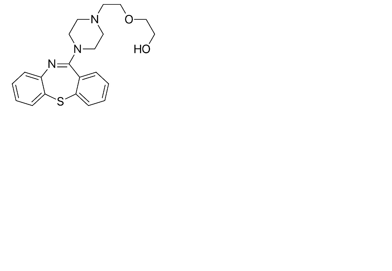
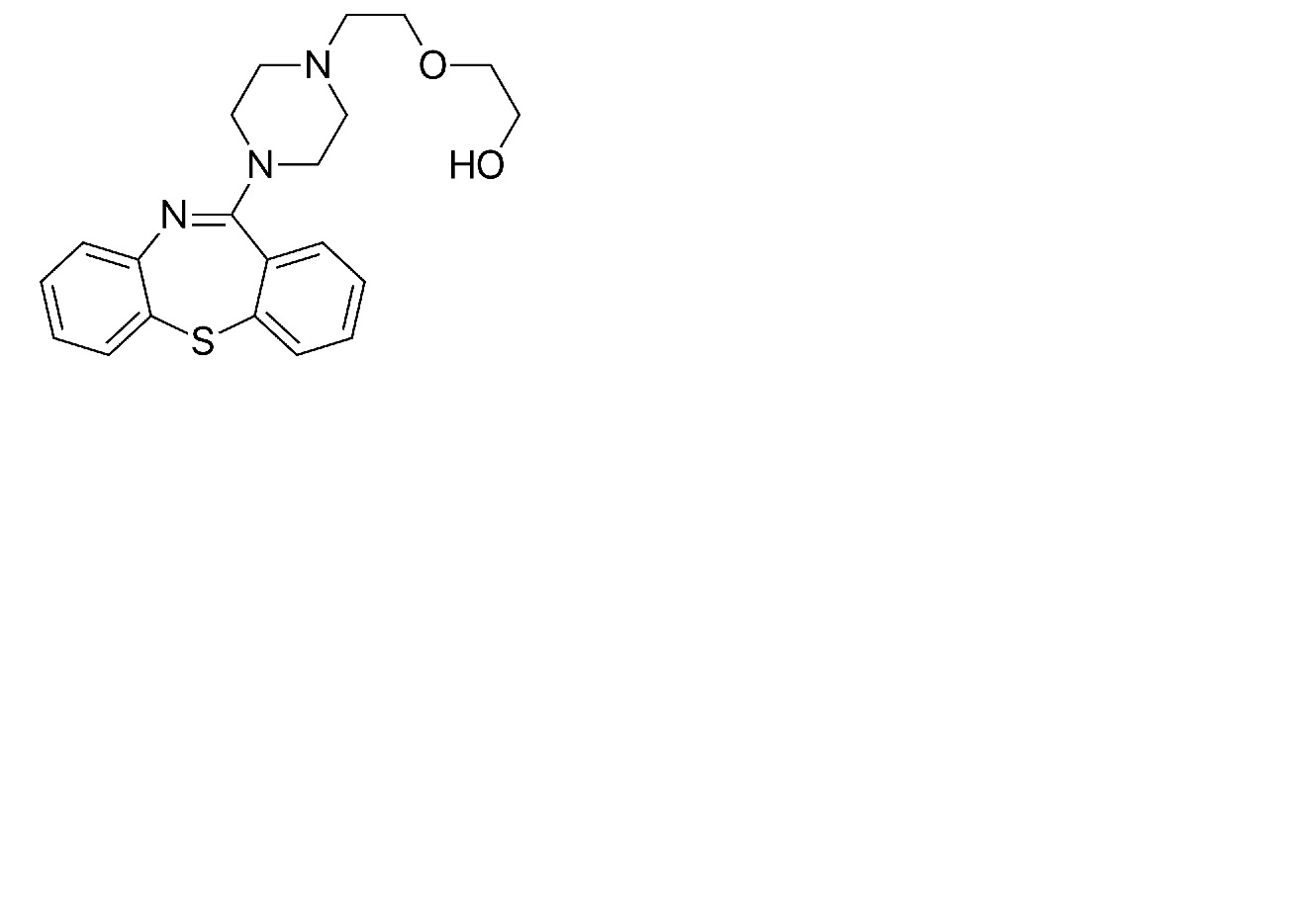
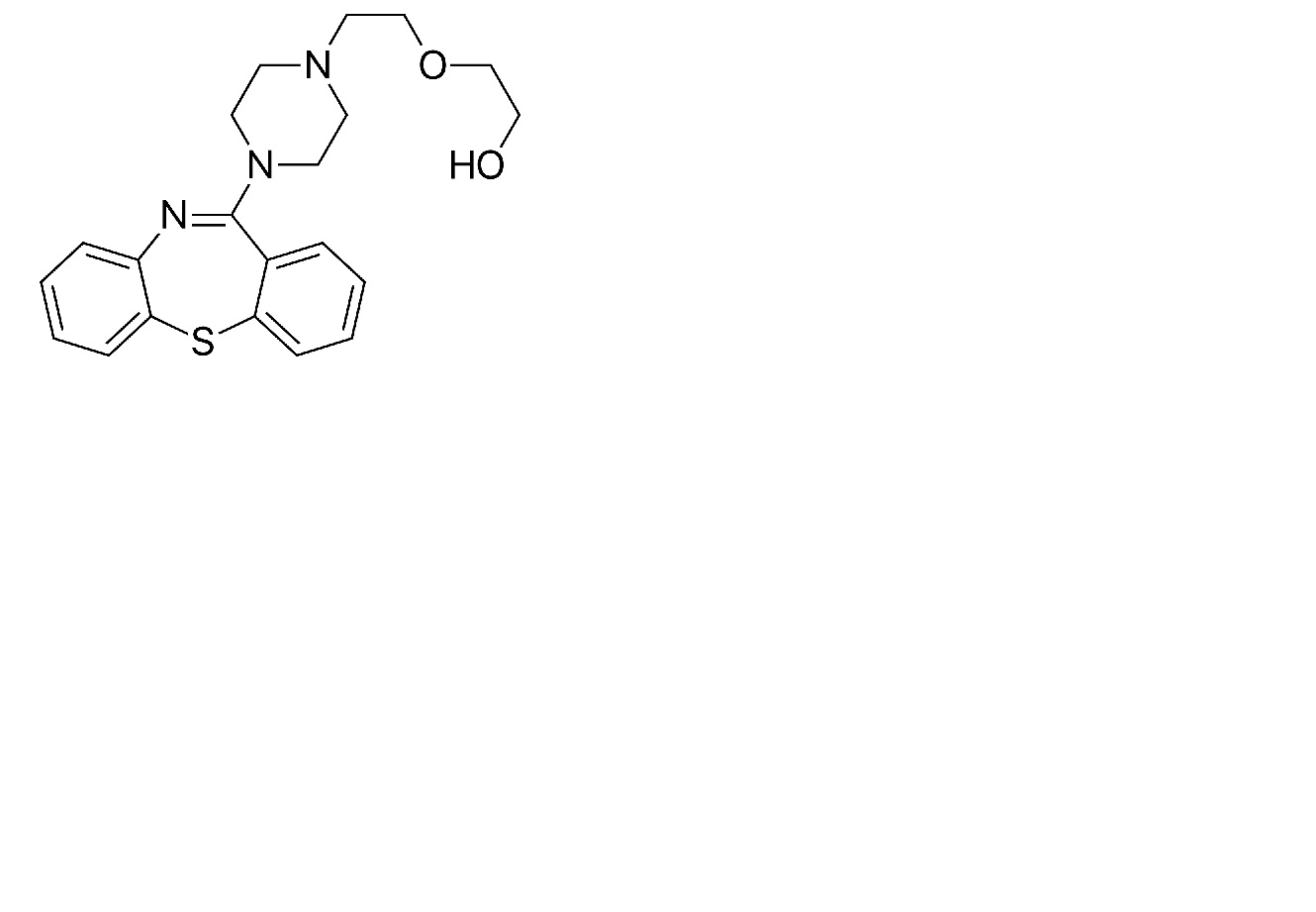
   Estructura química  

Solución Oral
La estabilidad de las preparaciones farmacéuticas   Solución Oral   La estabilidad de las preparaciones farmacéuticas : Quetiapine fumarate     
Envase Origine Excipiente Temperatura Conservación Duración de la estabilidad Bibliografía
Botella de plástico Tabletas 400 mg
Alkem®
Orablend® >> 40 mL
22°C A cubierto de la luz
60 Día
4609

Botella de plástico Tabletas 400 mg
Alkem®
Orablend® >> 40 mL
2°C A cubierto de la luz
60 Día
4609


  Mentions Légales