Posledná aktualizácia :
31/03/2026
rôzne   Quetiapine fumarate  
Perorálny roztok
Stabilita farmaceutických prípravkov Stabilita v zmesiach Faktory ovplyvňujúce stabilitu Kompatibility Odkazy na literatúru PDF
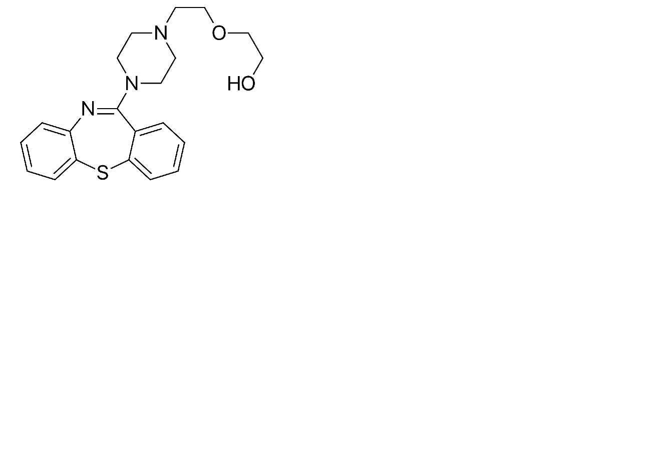
   Chemický vzorec  

Perorálny roztok
Stabilita farmaceutických prípravkov   Perorálny roztok   Stabilita farmaceutických prípravkov : Quetiapine fumarate     
obal Pôvod Pomocná látka teplota uchovávanie Trvanie stability odkazy na lieteratúru
Plastová fľaša Tablety 400 mg
Alkem®
Orablend® >> 40 mL
22°C Chránené pred svetlom
60 dní
4609

Plastová fľaša Tablety 400 mg
Alkem®
Orablend® >> 40 mL
2°C Chránené pred svetlom
60 dní
4609


  Mentions Légales