Останнє оновлення :
05/12/2025
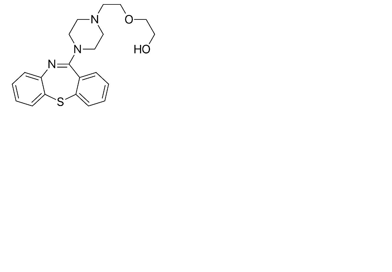
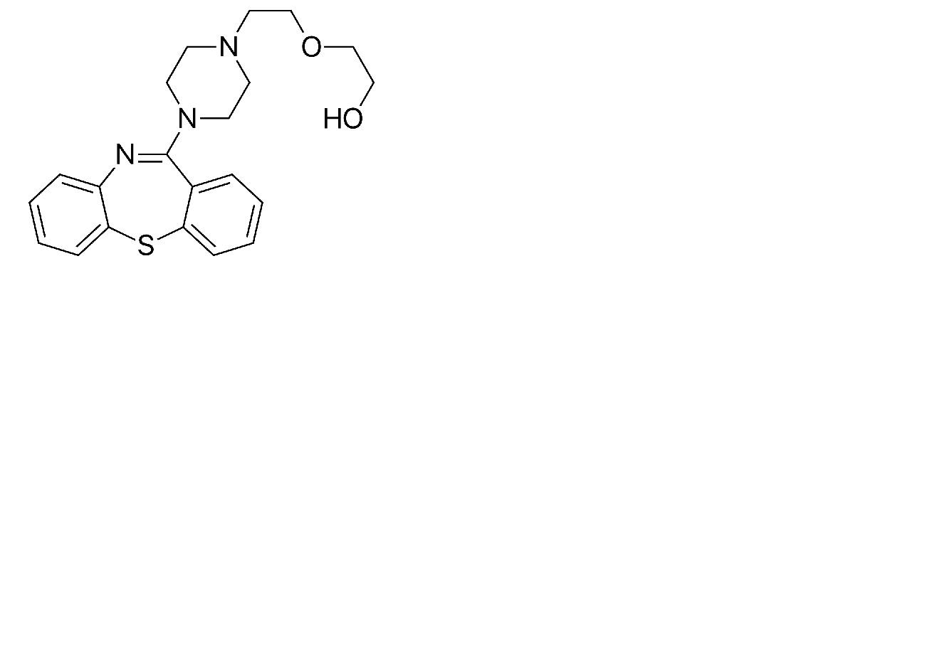
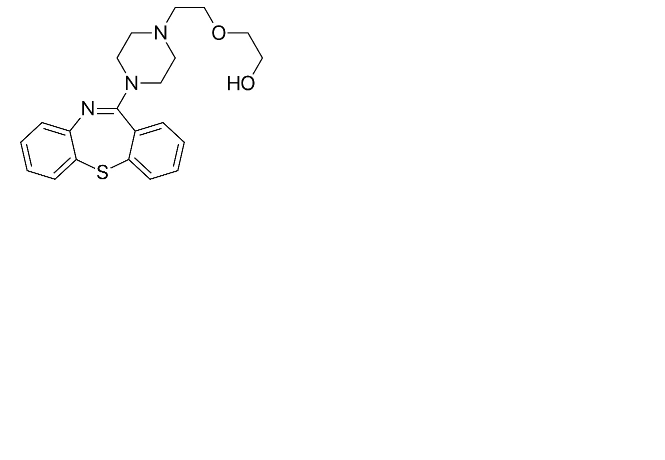
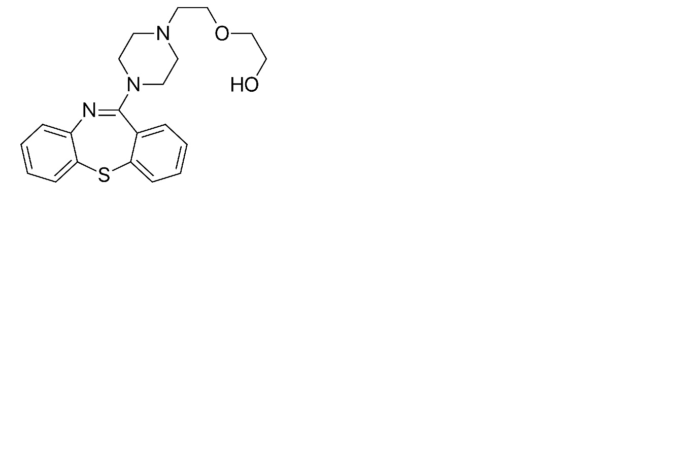
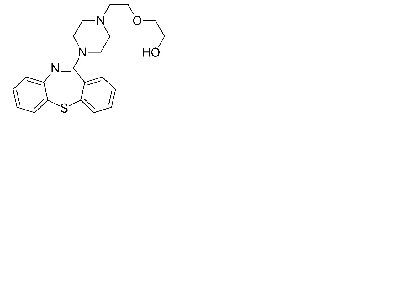
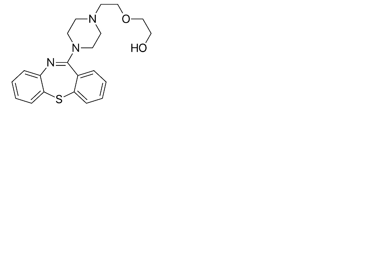
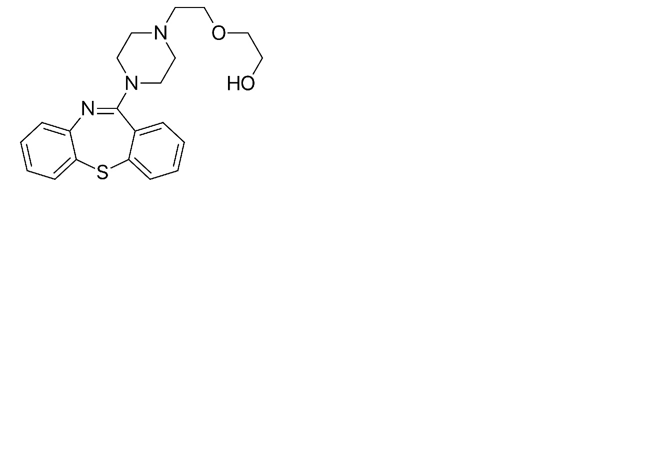
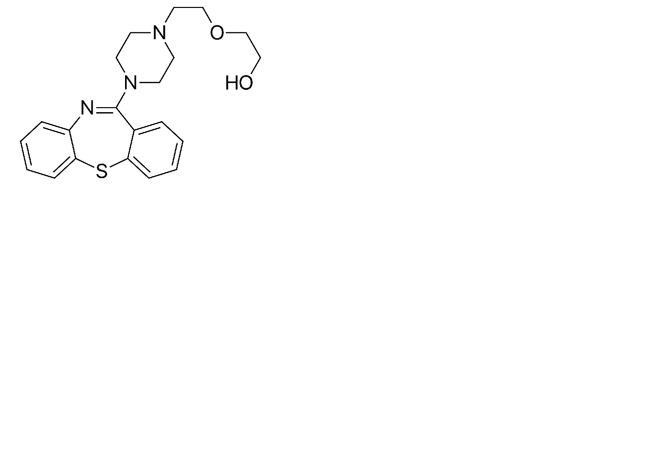
різноманітні   Quetiapine fumarate  
Розчин для перорального застосування
Стабільність фармацевтичних препаратів Стійкість сумішей Фактори, що впливають на стабільність Сумісність Список літератури pdf
   Хімічна структура  

Розчин для перорального застосування
Список літератури   Розчин для перорального застосування   Список літератури : Quetiapine fumarate  
Тип Публікація
4609 журнал Tran J, Gervase M.A, Evans J, Deville R, Dong X.
The stability of quetiapine oral suspension compounded from commercially available tablets.
PlosOne 2021 ; 16(8): e0255963.

  Mentions Légales