Utolsó frissítés :
12/02/2026
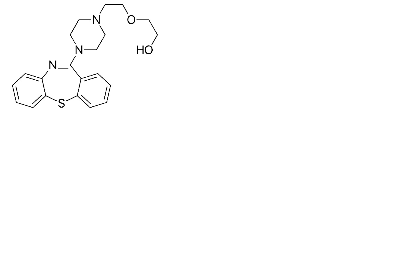
Különféle   Quetiapine fumarate  
belsőleges oldat
Stabilitása gyógyszerészeti készítmények A keverékek stabilitása Stabilitást befolyásoló tényezők Kompatibilitás Irodalom pdf
   Kémiai szerkezet   

belsőleges oldat
Stabilitása gyógyszerészeti készítmények   belsőleges oldat   Stabilitása gyógyszerészeti készítmények : Quetiapine fumarate     
Csomagolás Origine segédanyag Hőmérséklet Tárolás A stabilitás időtartama Irodalom
műanyag flakon tabletta 400 mg
Alkem®
Orablend® >> 40 mL
22°C Fénytől védve tartandó
60 Nap
4609

műanyag flakon tabletta 400 mg
Alkem®
Orablend® >> 40 mL
2°C Fénytől védve tartandó
60 Nap
4609


  Mentions Légales