Ostatnia aktualizacja :
31/03/2026
Różne   Quetiapine fumarate  
Roztwór doustny
Stabilność preparatów farmaceutycznych Trwałość w mieszaninie Czynnik wpływający na trwałość Zgodność Bibliografia pdf
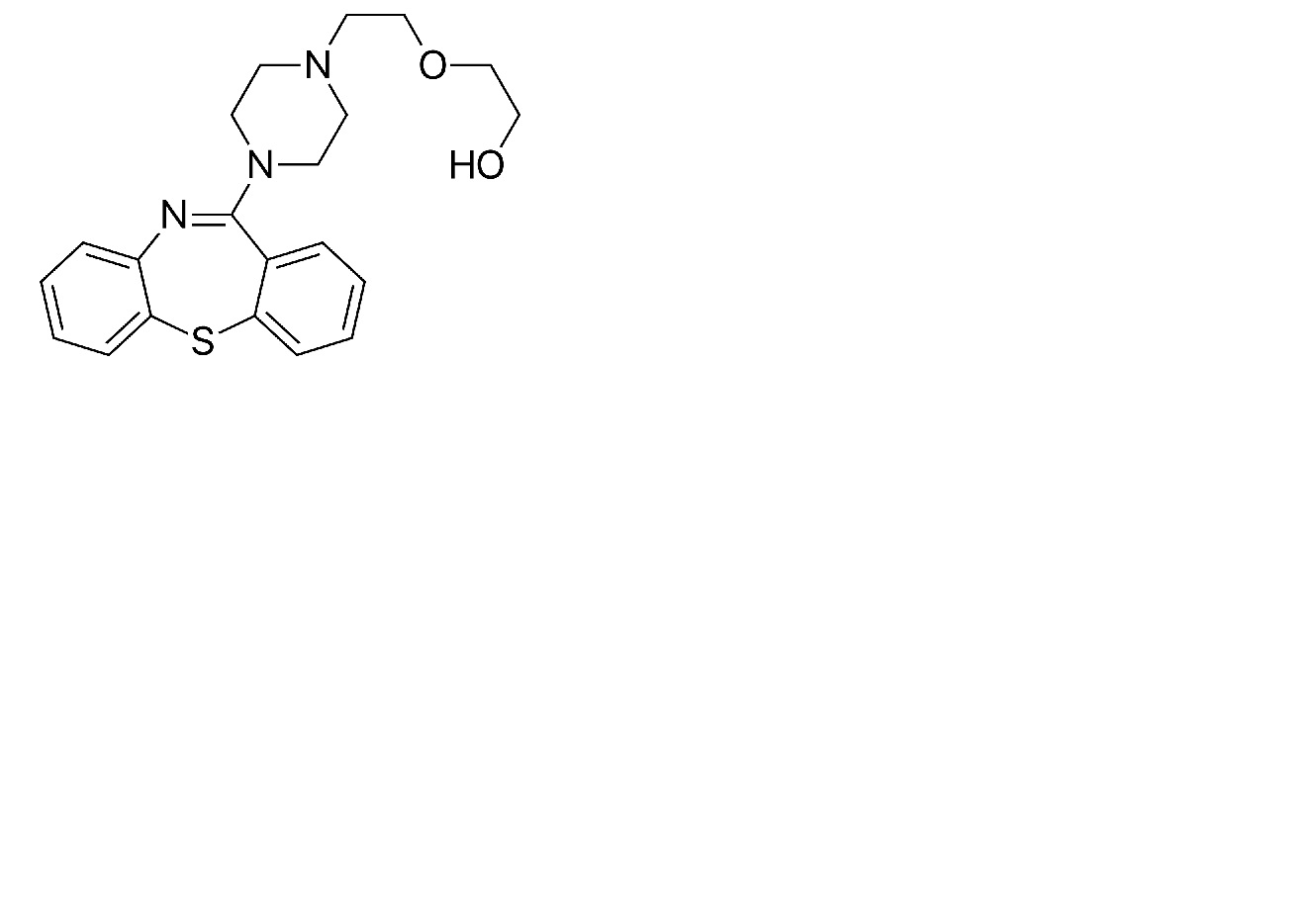
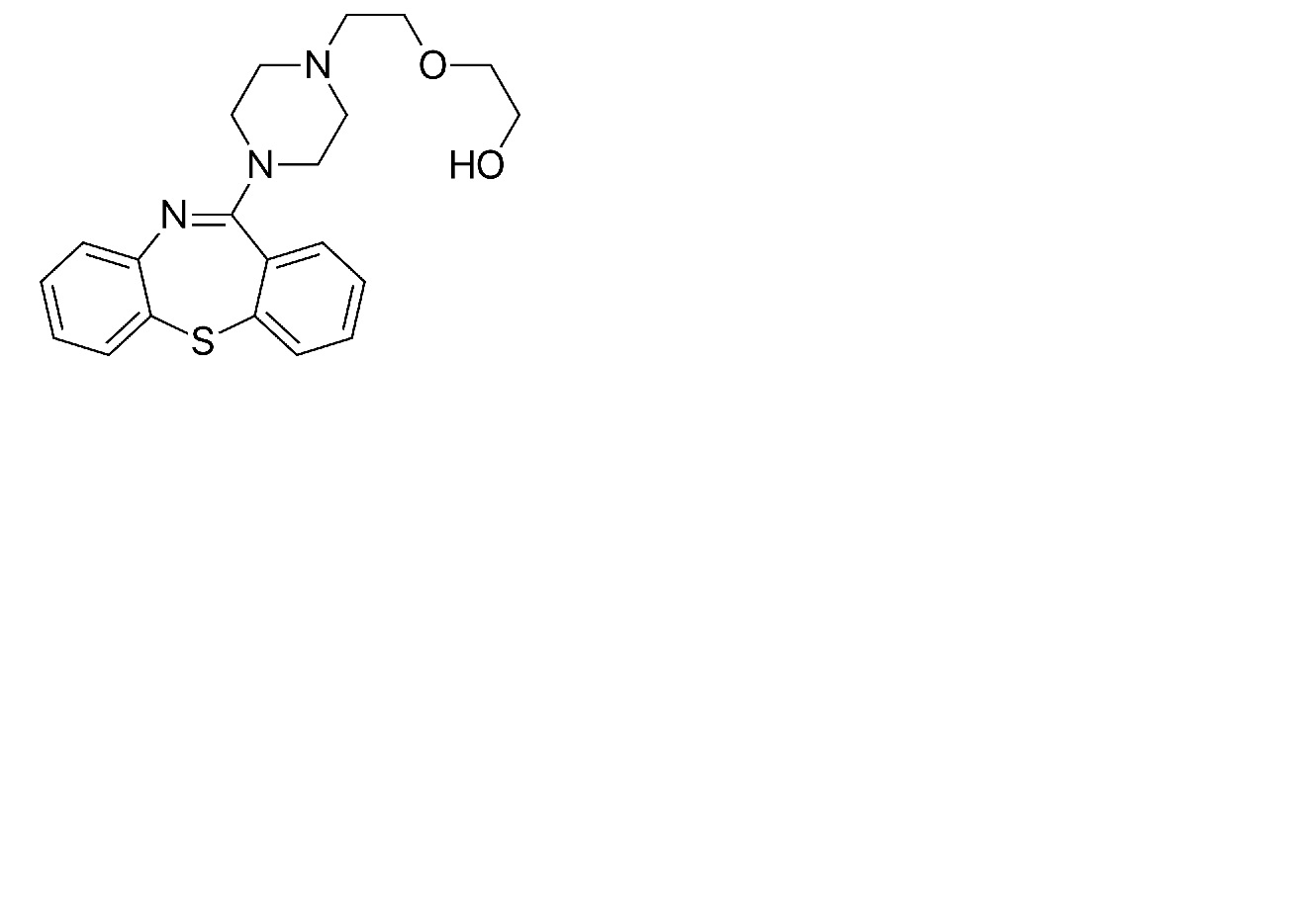
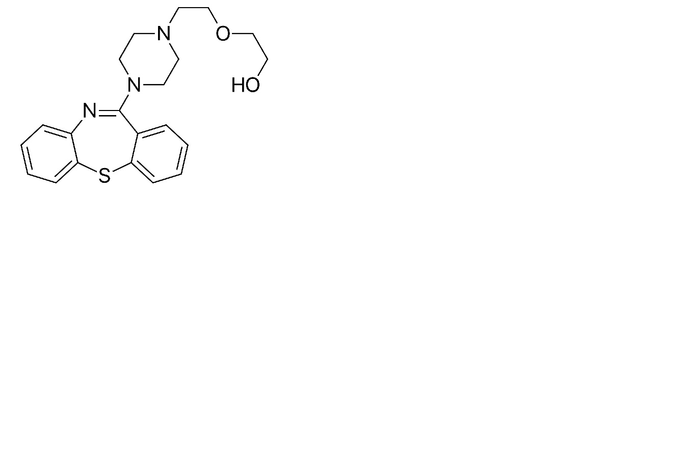
   Struktura chemiczna  

Roztwór doustny
Stabilność preparatów farmaceutycznych   Roztwór doustny   Stabilność preparatów farmaceutycznych : Quetiapine fumarate     
Pojemnik Origine Substancja pomocniczna Temperatura Przechowywanie Czas trwania stabilności Bibliografia
Butelka plastikowa Tabletki 400 mg
Alkem®
Orablend® >> 40 mL
22°C Chronić od światła
60 Dzień
4609

Butelka plastikowa Tabletki 400 mg
Alkem®
Orablend® >> 40 mL
2°C Chronić od światła
60 Dzień
4609


  Mentions Légales