最新更新 :
31/03/2026
Infostab
薬剤一覧
まとめ一覧
互換性の検索
Yサイト対応表
引用文献
研究チーム
valistab
ポスター
接続
スポンサー
作成者
ユーザーガイド
ニュースレター
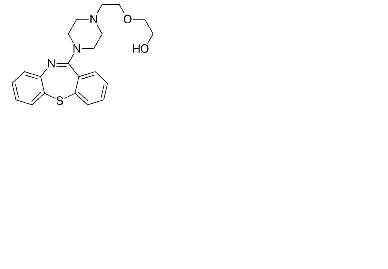
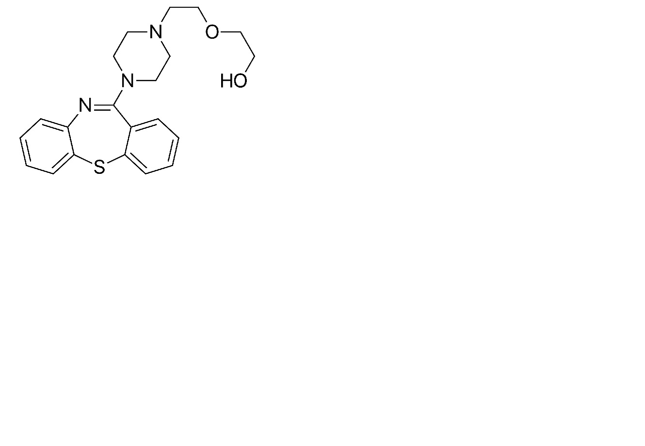
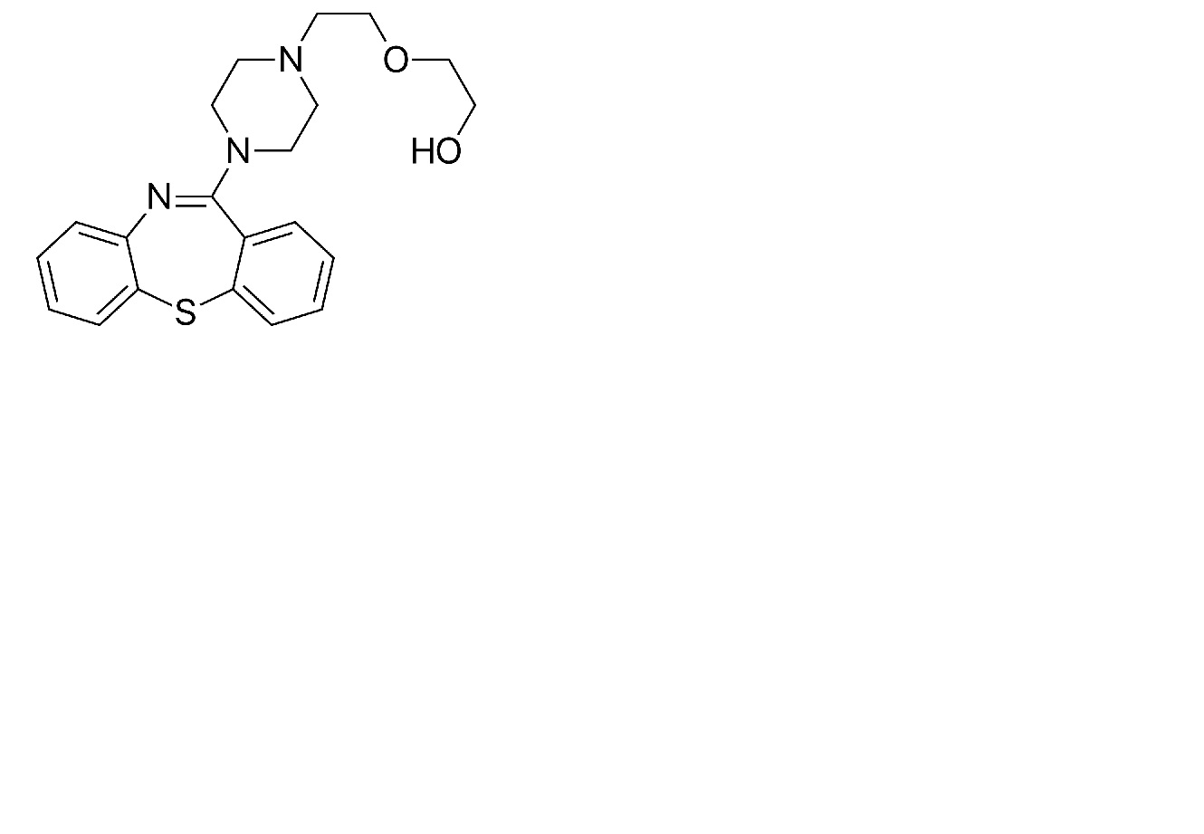
Quetiapine fumarate
化学構造
調剤時の安定性 : Quetiapine fumarate
400 mg
Alkem®
Orablend®
>> 40 mL
22°C
60
4609
400 mg
Alkem®
Orablend®
>> 40 mL
2°C
60
4609
Mentions Légales