Viimeisin päivitys :
31/03/2026
Muut   Quetiapine fumarate  
Oraaliliuos
Vakaus lääkevalmisteen Stabilius seoksissa Tekijät, jotka vaikuttavat stabiliuteen Yhteensopivuus Viitteet pdf
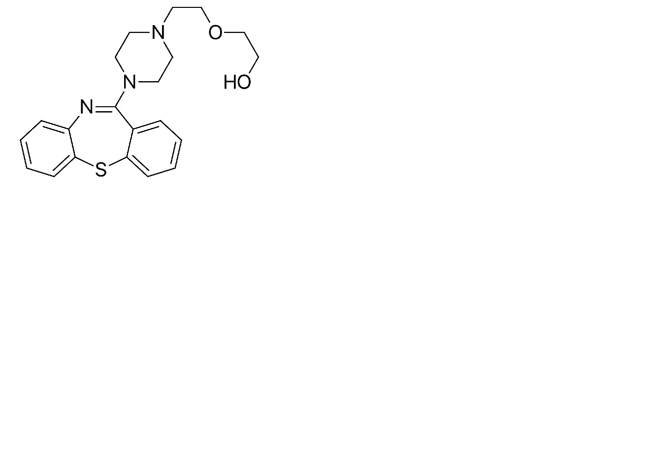
   Kemiallinen rakenne  

Oraaliliuos
Vakaus lääkevalmisteen   Oraaliliuos   Vakaus lääkevalmisteen : Quetiapine fumarate     
Astia Origine Apuaine Lämpötila Säilytys Vakauden kesto Viitteet
Muovipullo Tabletit 400 mg
Alkem®
Orablend® >> 40 mL
22°C Suojattava valolta
60 Päivä
4609

Muovipullo Tabletit 400 mg
Alkem®
Orablend® >> 40 mL
2°C Suojattava valolta
60 Päivä
4609


  Mentions Légales