Dernière mise à jour :
31/03/2026
Divers   Quetiapine fumarate  
Solution buvable
Stabilité des préparations Stabilité en mélange Facteur influençant la stabilité Compatibilités Bibliographie pdf
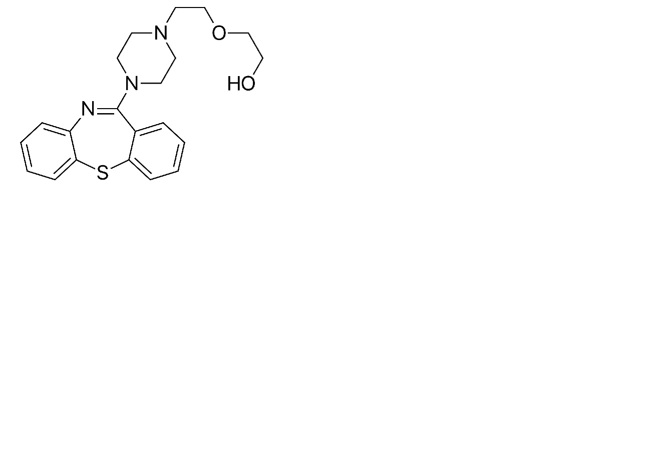
   Structure chimique  

Solution buvable
Stabilité des préparations   Solution buvable   Stabilité des préparations : Quetiapine fumarate     
Contenant Origine Excipient Température Conservation Durée de stabilité Bibliographie
Flacon plastique Comprimés 400 mg
Alkem®
Orablend® >> 40 mL
22°C A l’abri de la lumière
60 Jour
4609

Flacon plastique Comprimés 400 mg
Alkem®
Orablend® >> 40 mL
2°C A l’abri de la lumière
60 Jour
4609


  Mentions Légales