آخر تحديث :
31/03/2026
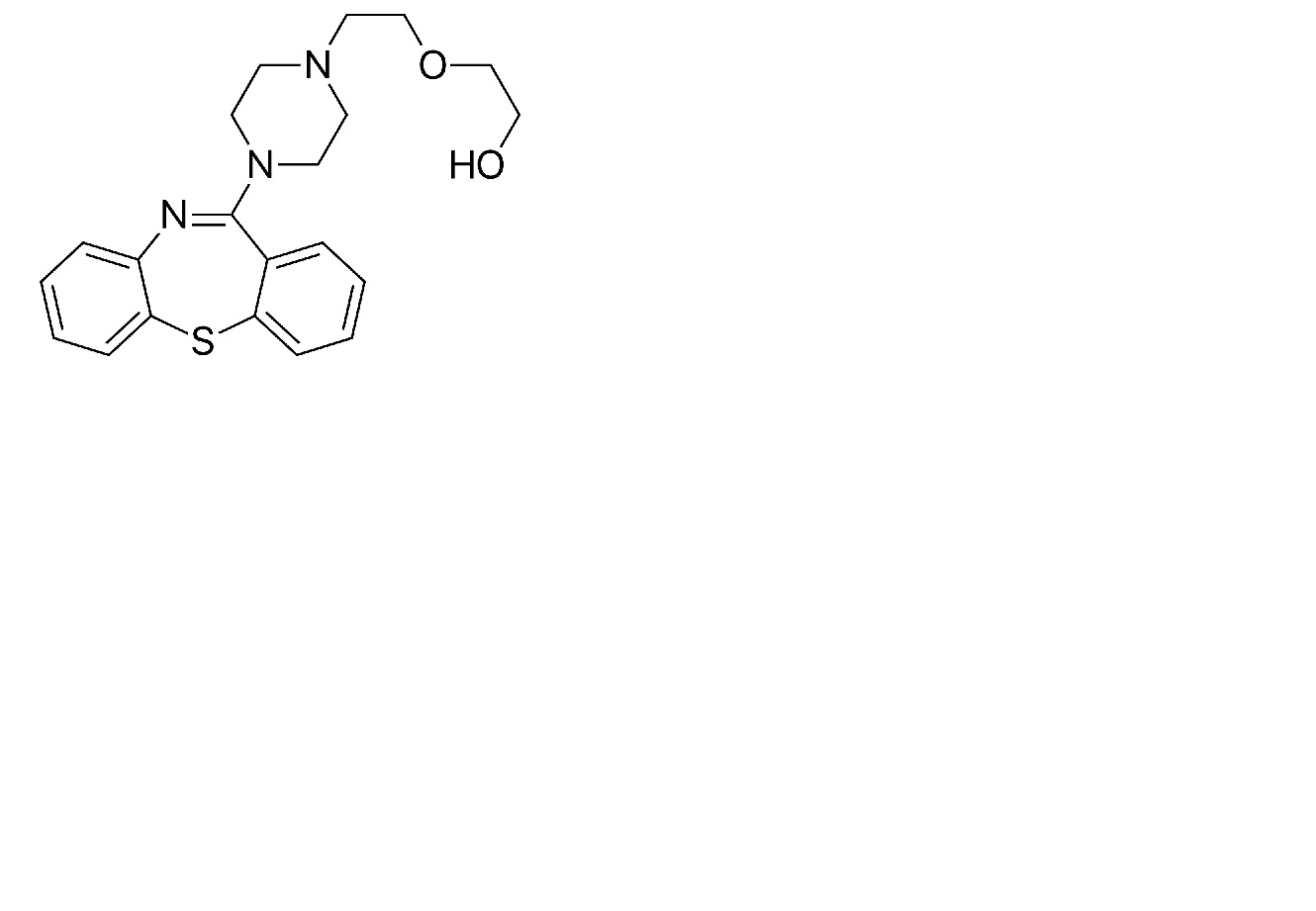
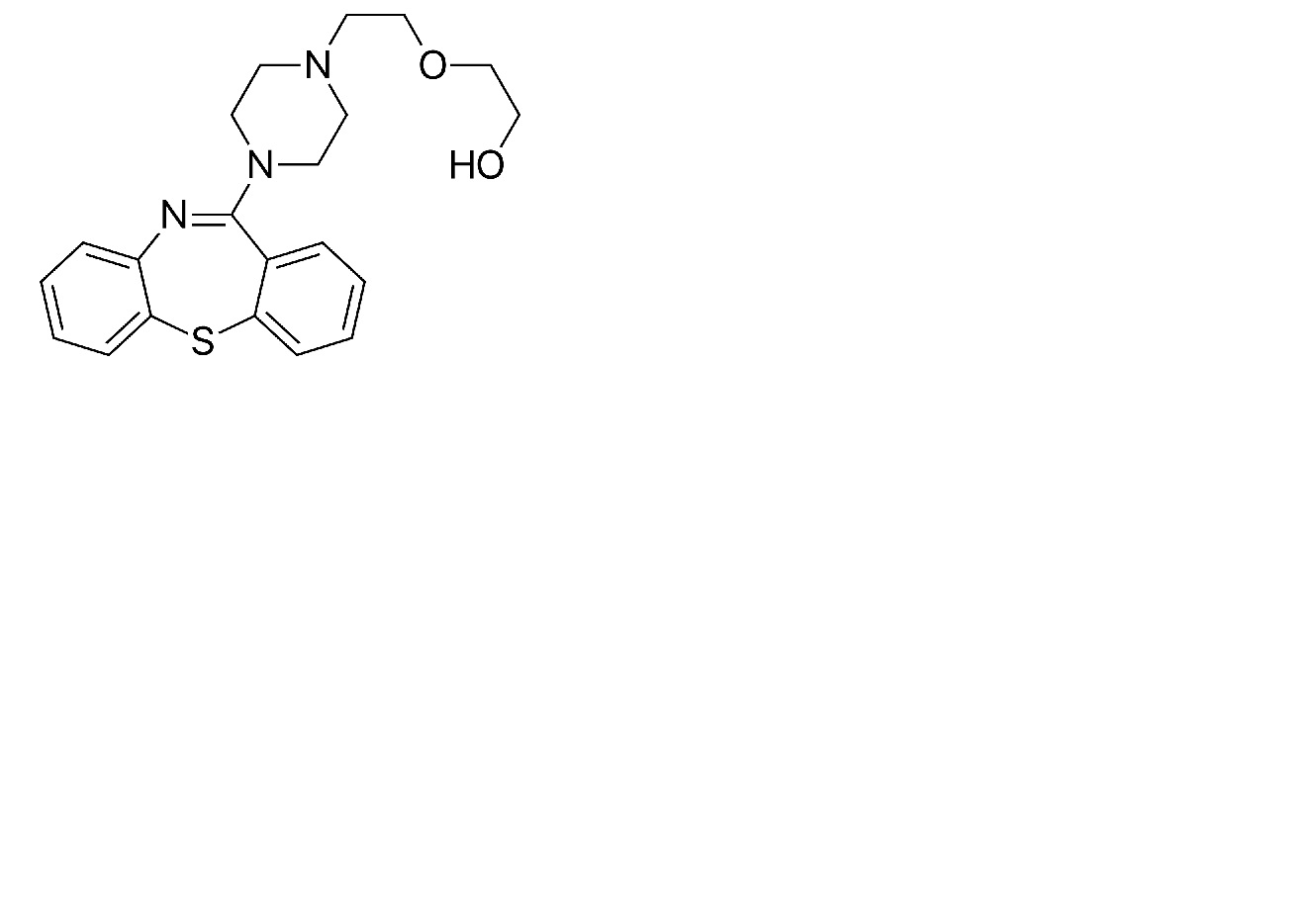
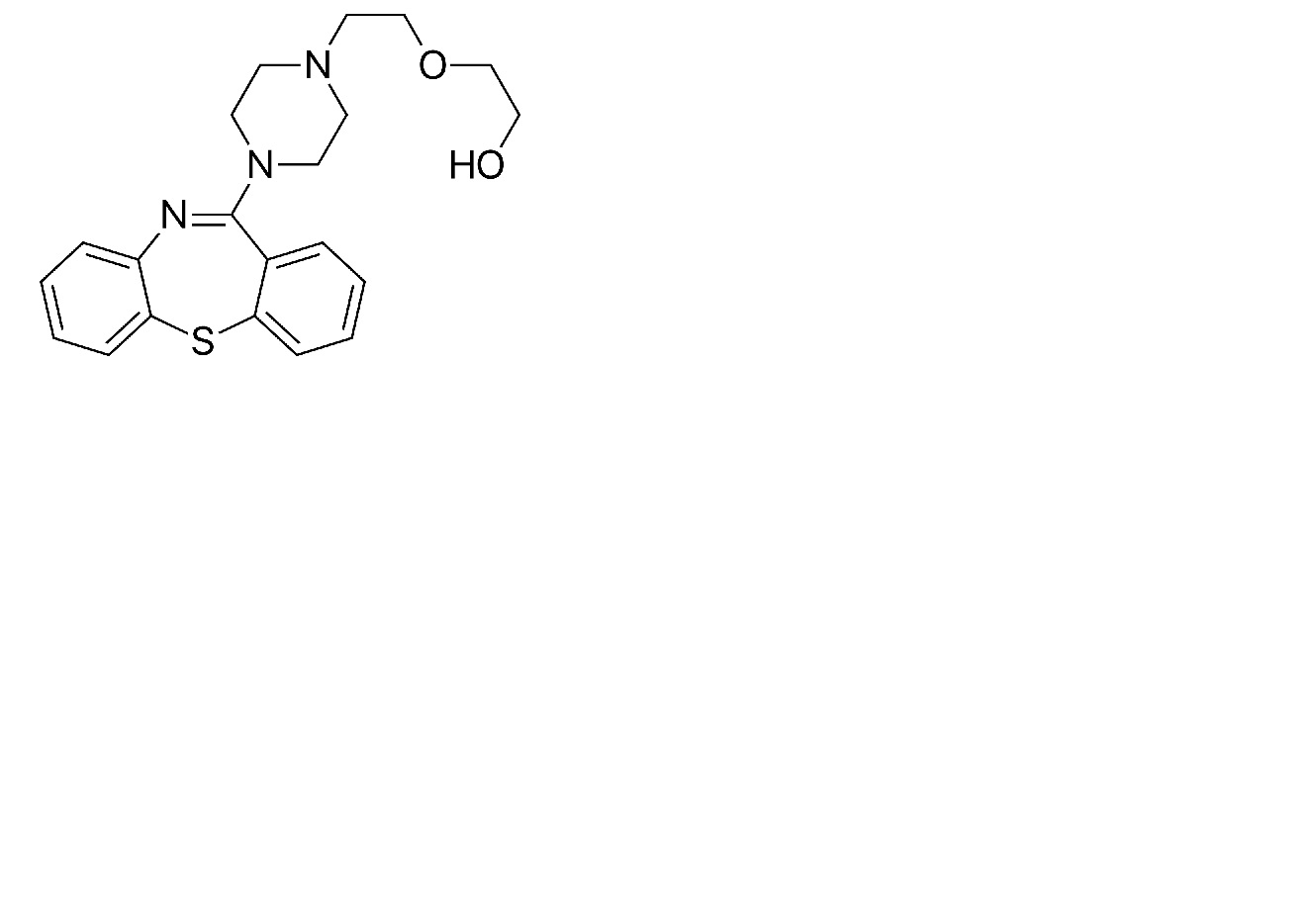
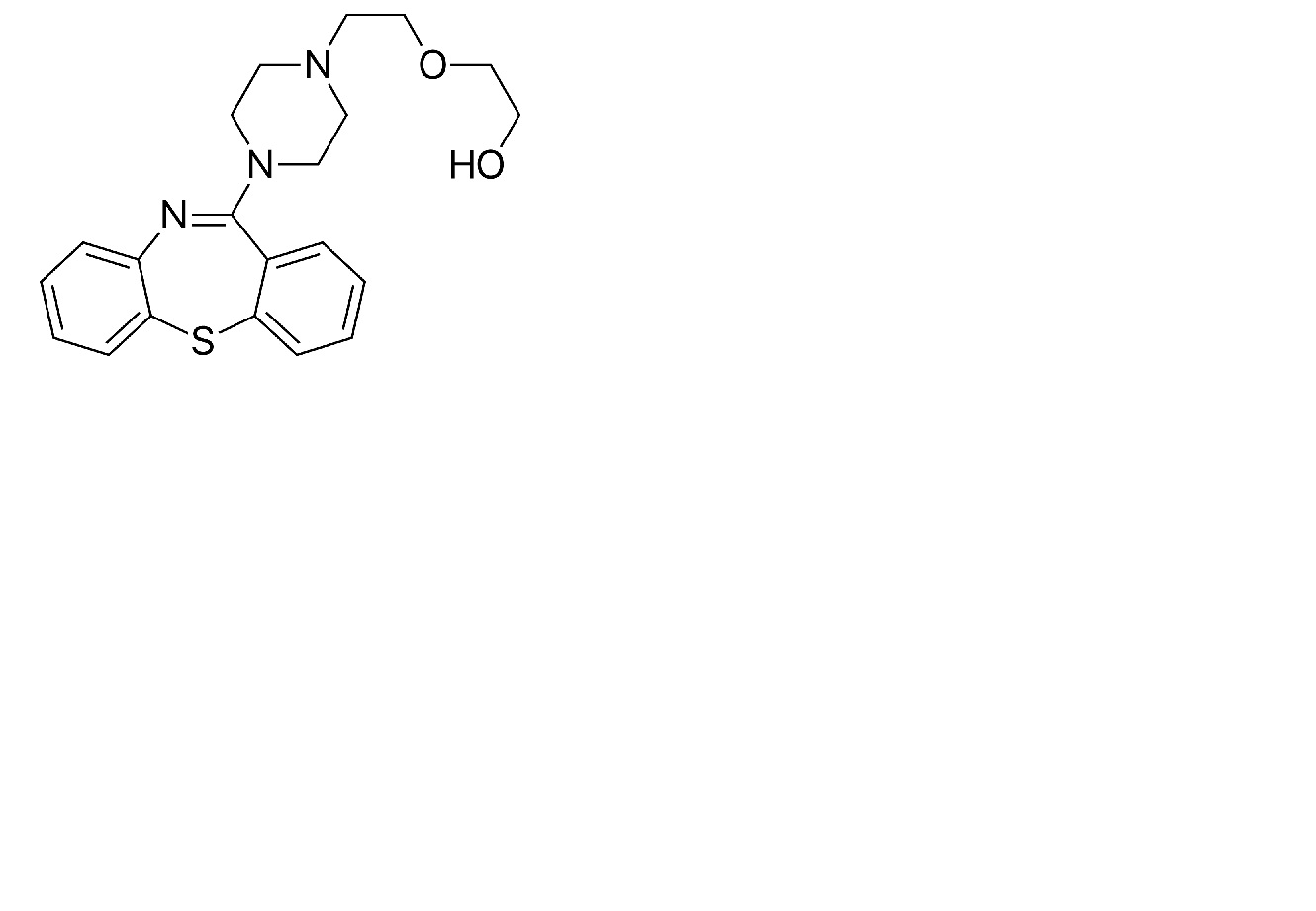
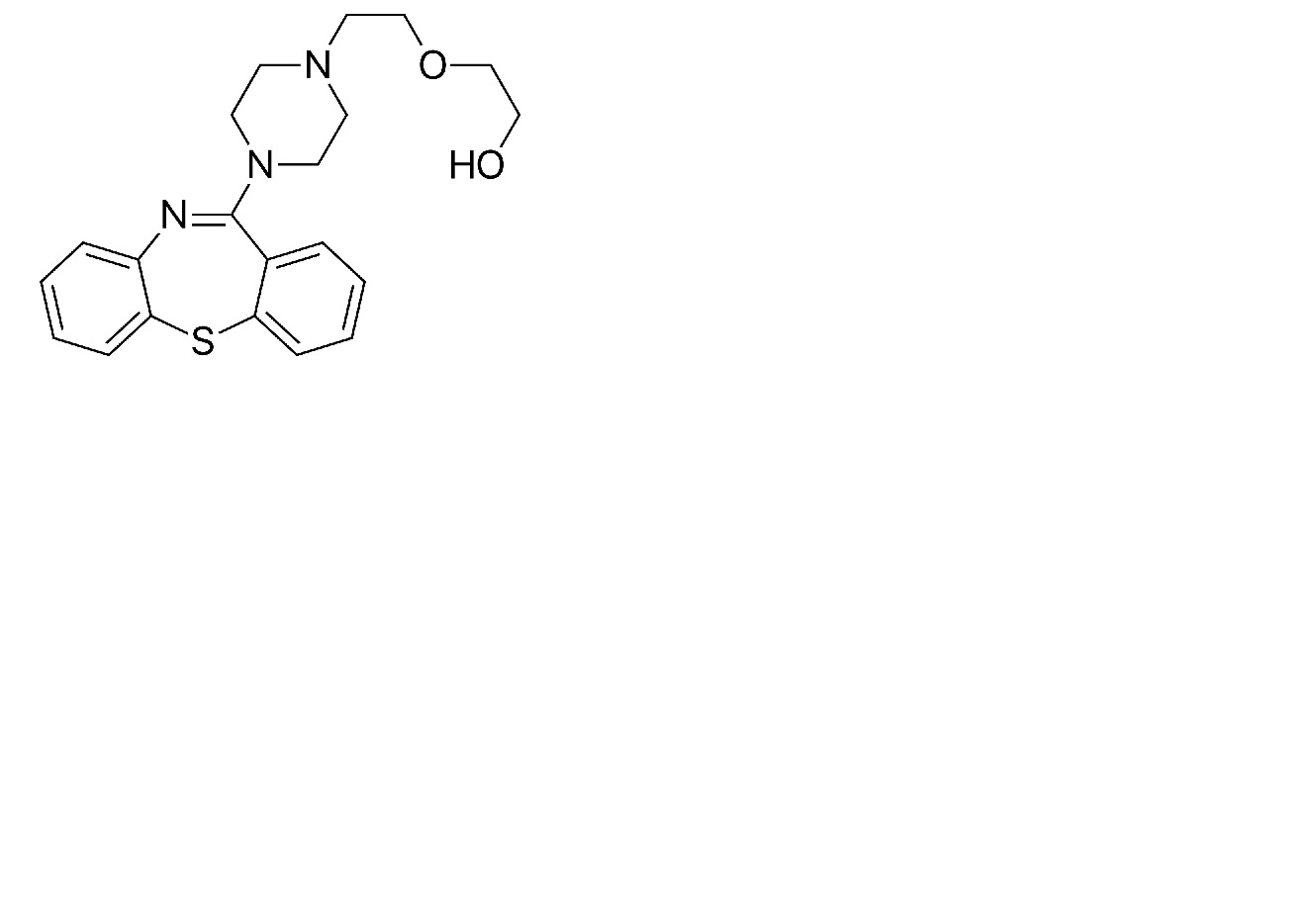
مختلف   Quetiapine fumarate  
عن طريق الفم
استقرار المستحضرات الصيدلانية استقرار مخاليط العوامل التي تؤثر على الاستقرار التوافق مراجع pdf
   التركيب الكيميائي  

عن طريق الفم
استقرار المستحضرات الصيدلانية   عن طريق الفم     استقرار المستحضرات الصيدلانية : Quetiapine fumarate     
حاوية Origine الاضافات درجة الحرارة تخزين مدة الاستقرار مراجع
زجاجة من البلاستيك أقراص 400 mg
Alkem®
Orablend® >> 40 mL
22°C بعيدا عن الضوء
60 يوم
4609

زجاجة من البلاستيك أقراص 400 mg
Alkem®
Orablend® >> 40 mL
2°C بعيدا عن الضوء
60 يوم
4609


  Mentions Légales