viimane versioon :
31/03/2026
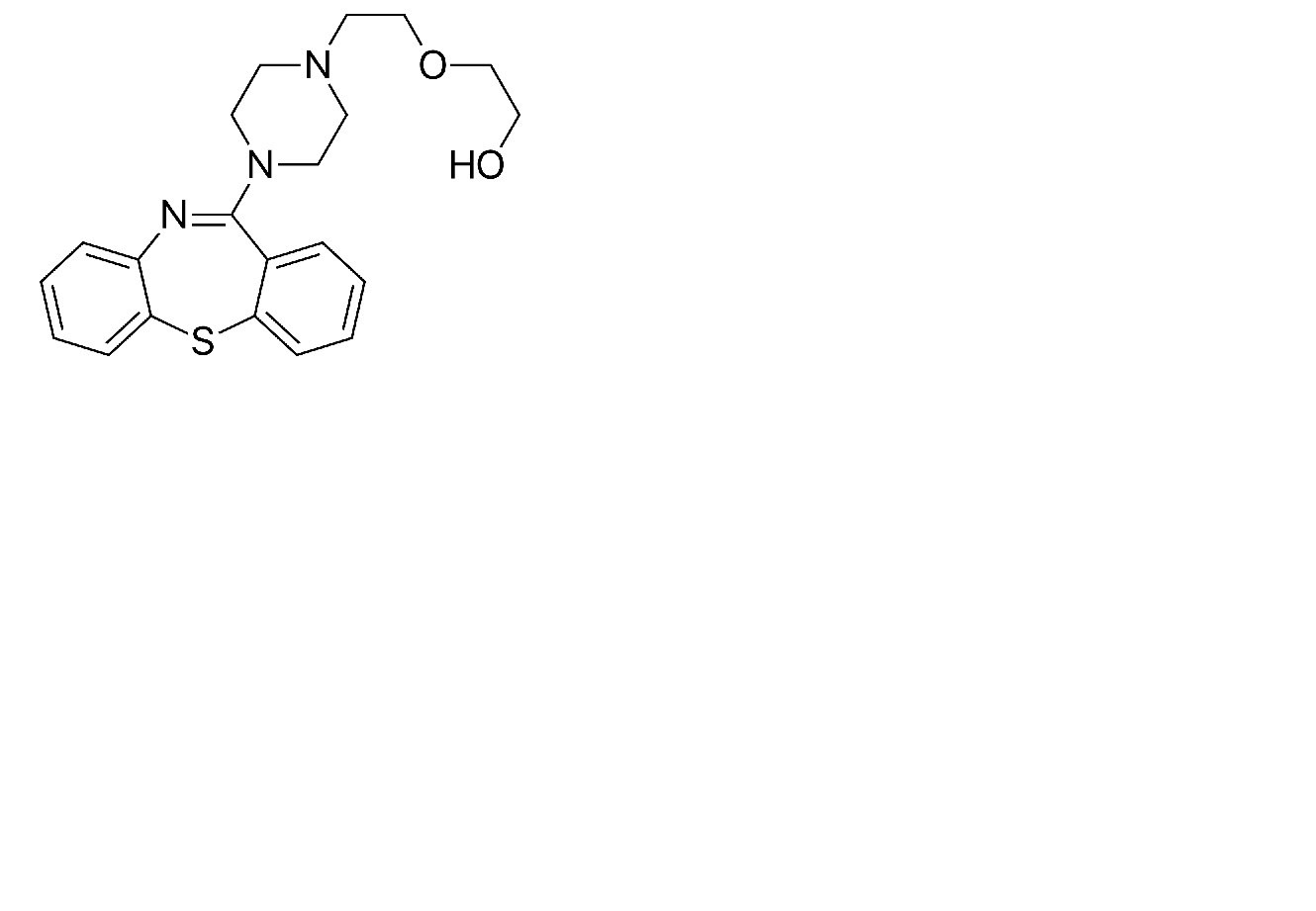
mitmesugune   Quetiapine fumarate  
suukaudne lahus
Stabiilsust ravimpreparaadid Stabiilsust mõjutavad tegurid stabiilsust mõjutavad faktorid Sobimatus Viited pdf
   keemiline struktuur  

suukaudne lahus
Stabiilsust ravimpreparaadid   suukaudne lahus   Stabiilsust ravimpreparaadid : Quetiapine fumarate     
konteiner Origine  abiaine temperatuur ladustamine Stabiilsuse kestus Viited
Plastikpudel tabletid 400 mg
Alkem®
Orablend® >> 40 mL
22°C kaitsta valguse eest
60 päev
4609

Plastikpudel tabletid 400 mg
Alkem®
Orablend® >> 40 mL
2°C kaitsta valguse eest
60 päev
4609


  Mentions Légales