Última actualização :
31/03/2026
Varios   Quetiapine fumarate  
Solução Oral
Estabilidade de preparações farmacêuticas Estabilidade em misturas Factores que afectam a sua estabilidade Compatibilidade Bibliografía pdf
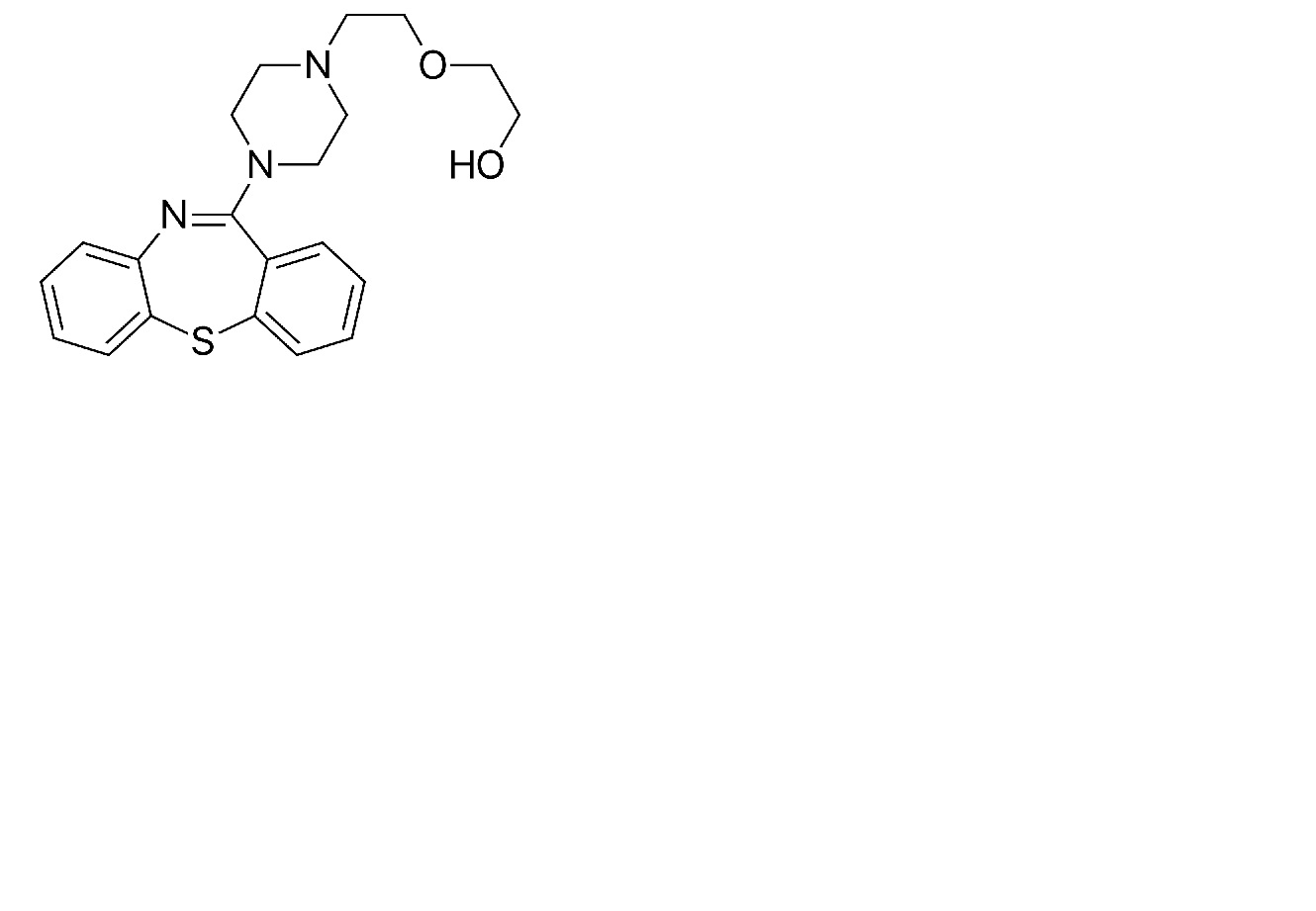
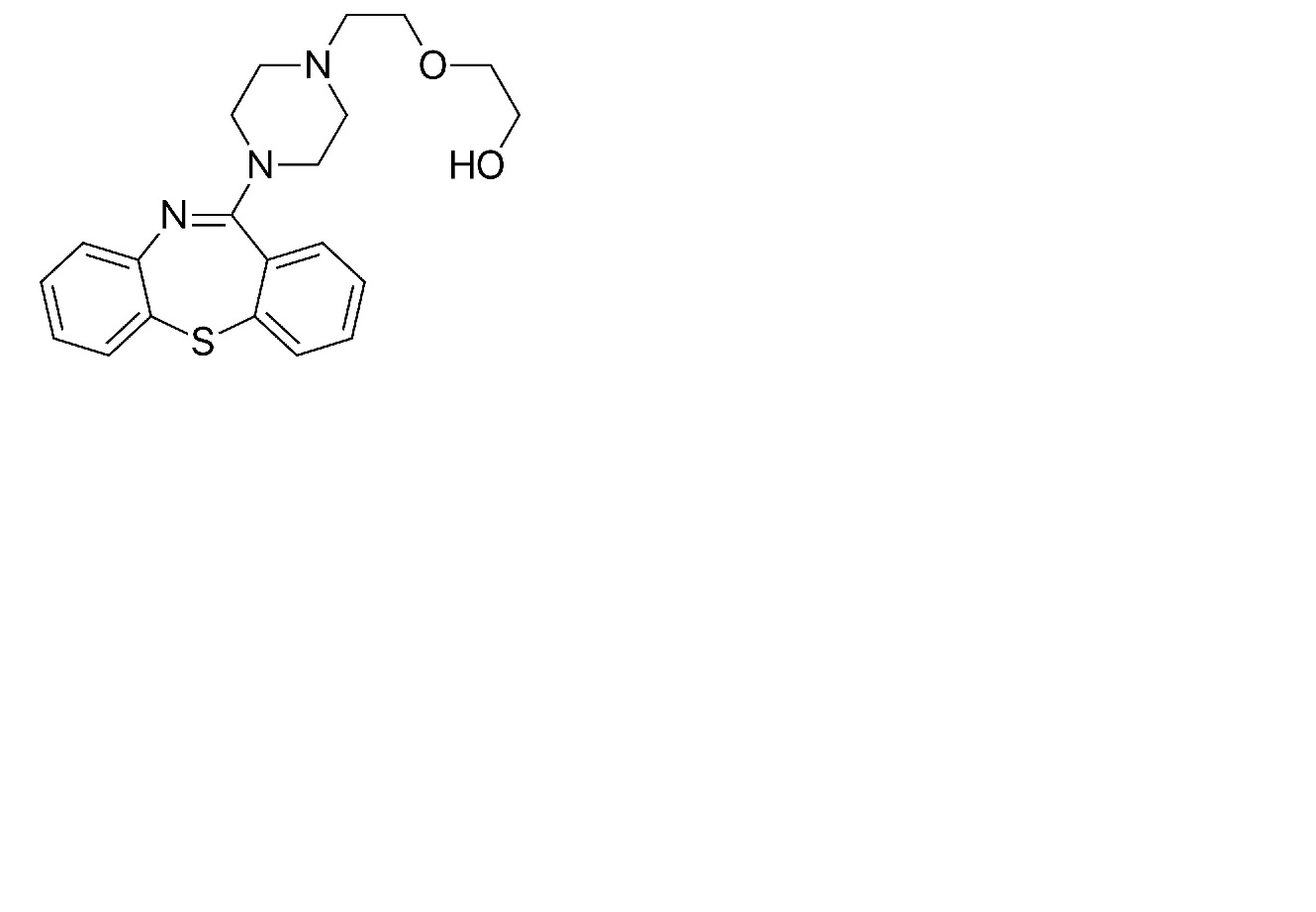
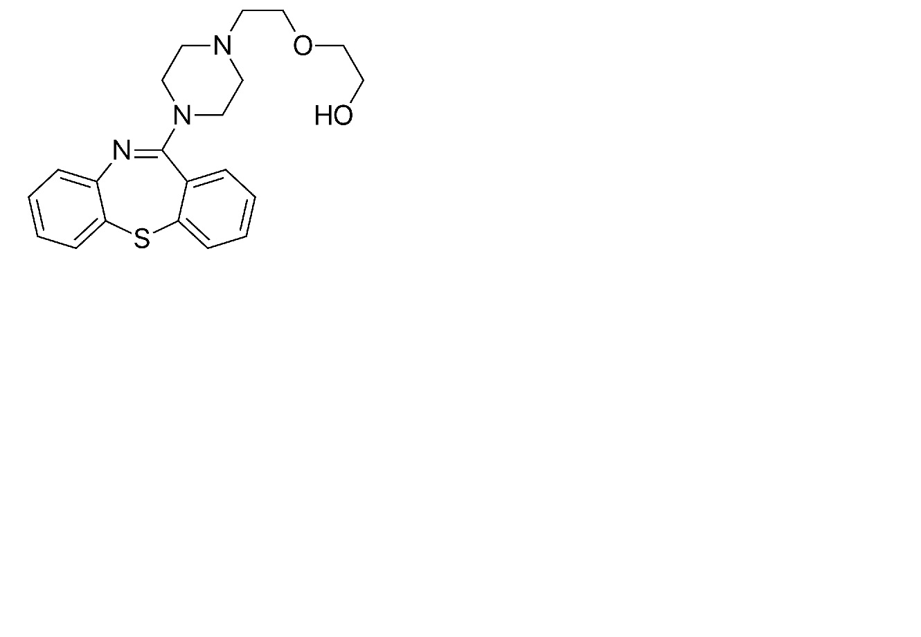
   estrutura química  

Solução Oral
Estabilidade de preparações farmacêuticas   Solução Oral   Estabilidade de preparações farmacêuticas : Quetiapine fumarate     
Embalagem Origine excipiente temperatura conservação Duração da estabilidade Bibliografia
frasco de plástico comprimidos 400 mg
Alkem®
Orablend® >> 40 mL
22°C ao abrigo da luz
60 dia
4609

frasco de plástico comprimidos 400 mg
Alkem®
Orablend® >> 40 mL
2°C ao abrigo da luz
60 dia
4609


  Mentions Légales