Ultimele actualizari :
31/03/2026
Diverse   Quetiapine fumarate  
Soluţie orală
Stabilitatea preparatelor farmaceutice Stabilitatea in amestec Factorii care influenteaza stabilitatea Compatibilitate Bibliografie pdf
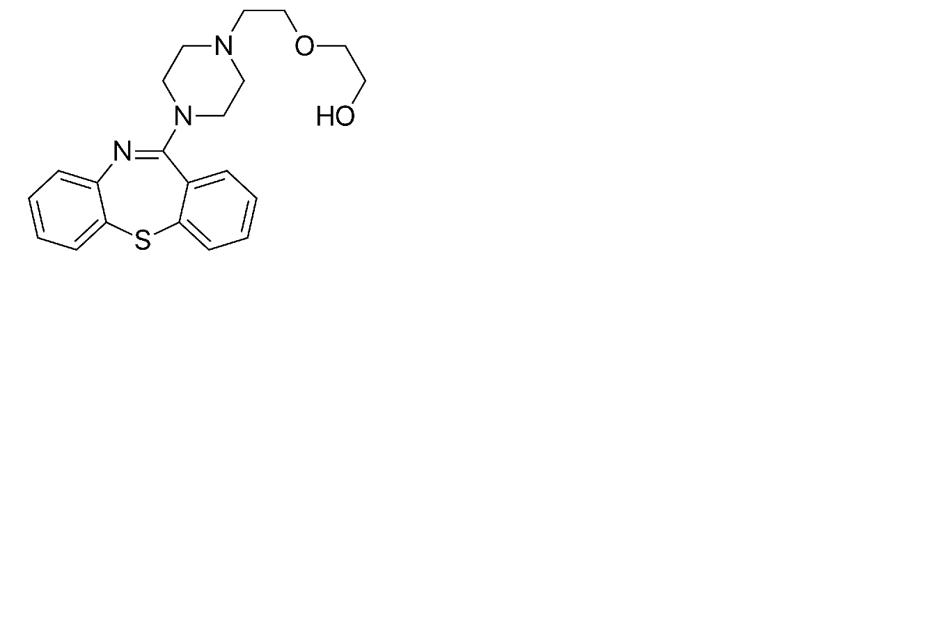
   Formula chimica  

Soluţie orală
Stabilitatea preparatelor farmaceutice   Soluţie orală   Stabilitatea preparatelor farmaceutice : Quetiapine fumarate     
Continut Origine Excipient Temperatura Conservare Durata stabilității Bibiografie
Sticla din plastic Comprimate 400 mg
Alkem®
Orablend® >> 40 mL
22°C Ferit de lumina
60 Ziua
4609

Sticla din plastic Comprimate 400 mg
Alkem®
Orablend® >> 40 mL
2°C Ferit de lumina
60 Ziua
4609


  Mentions Légales