Последнее обновление :
17/12/2025
Сосудорасширяющее средство   Ambrisentan  
Раствор для перорального приёма
Стабильность фармацевтических препаратов Стабильность смесей Факторы, которые влияют на стабильность Совместимость Библиография pdf
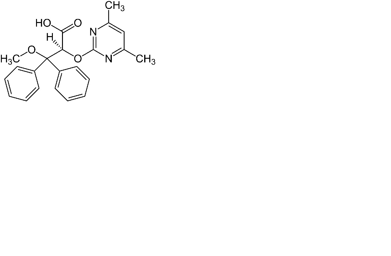
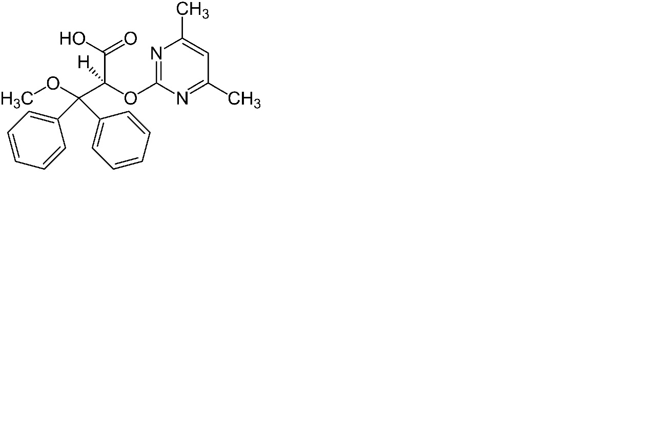
   Химическая структура  

Раствор для перорального приёма
Стабильность фармацевтических препаратов   Раствор для перорального приёма   Стабильность фармацевтических препаратов : Ambrisentan     
Упаковка Origine Наполнитель Температура Хранение Продолжительность стабильности Ссылки
Пластиковая бутылка Таблетки 30 mg
® = Gilead Sciences
Глицерин 2,5 mL
OraPlus® 15 mL
Orasweet® 12,5 mL
21-27°C Защищён от света
90 День
4560
Уровень доказательности D

Пластиковая бутылка Таблетки 30 mg
® = Gilead Sciences
Глицерин 2,5 mL
OraPlus® 15 mL
Orasweet® 12,5 mL
3,2-4,8°C Защищён от света
90 День
4560
Уровень доказательности D


  Mentions Légales