Pēdējā atjaunošana :
27/11/2025
Vazodiletators   Ambrisentan  
Orāls šķīdums
Stabilitāte farmaceitisko preparātu Maisījuma stabilitāte Stabilitāti ietekmējoši faktori Saderība Literatūras saraksts pdf
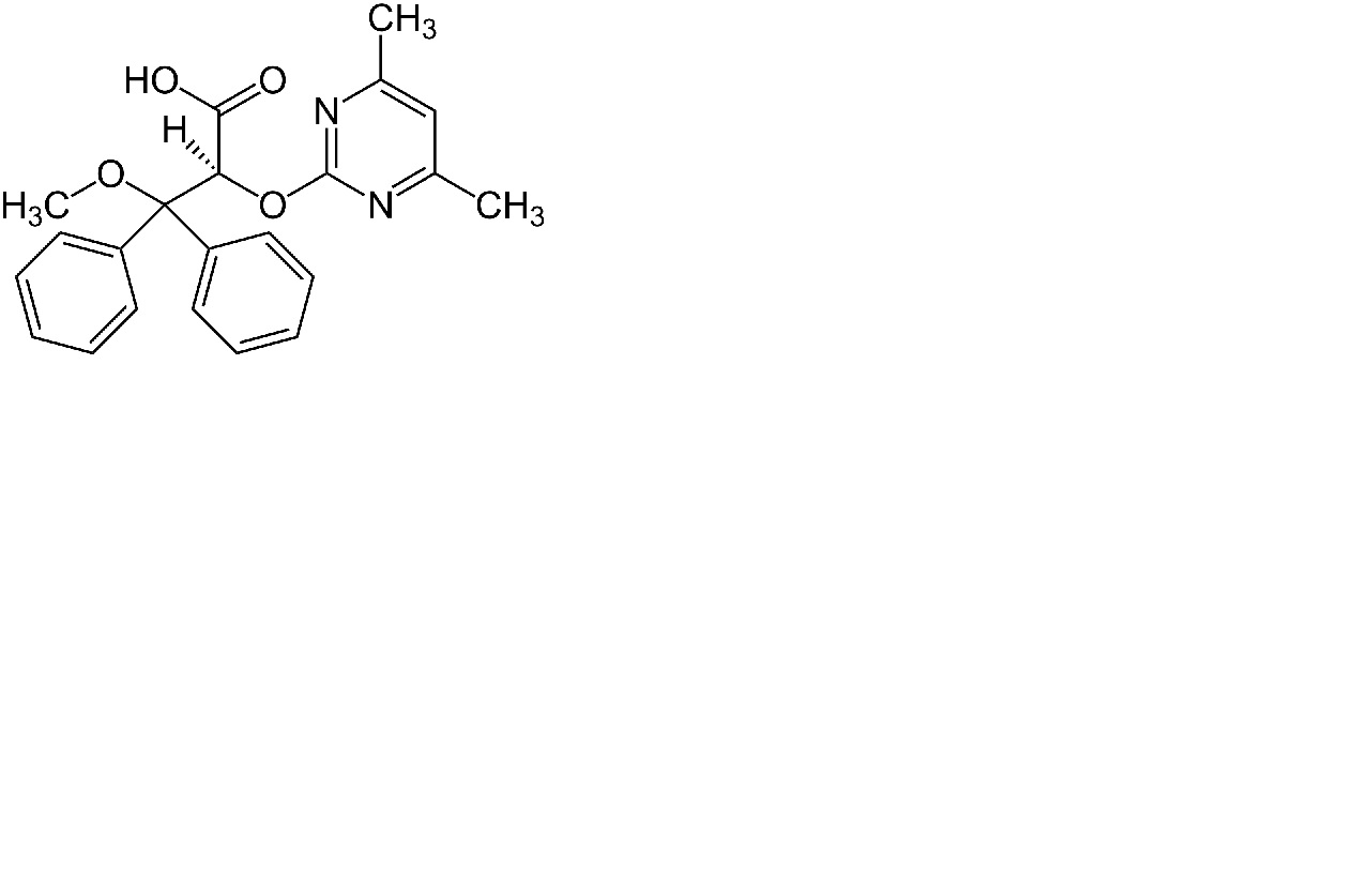
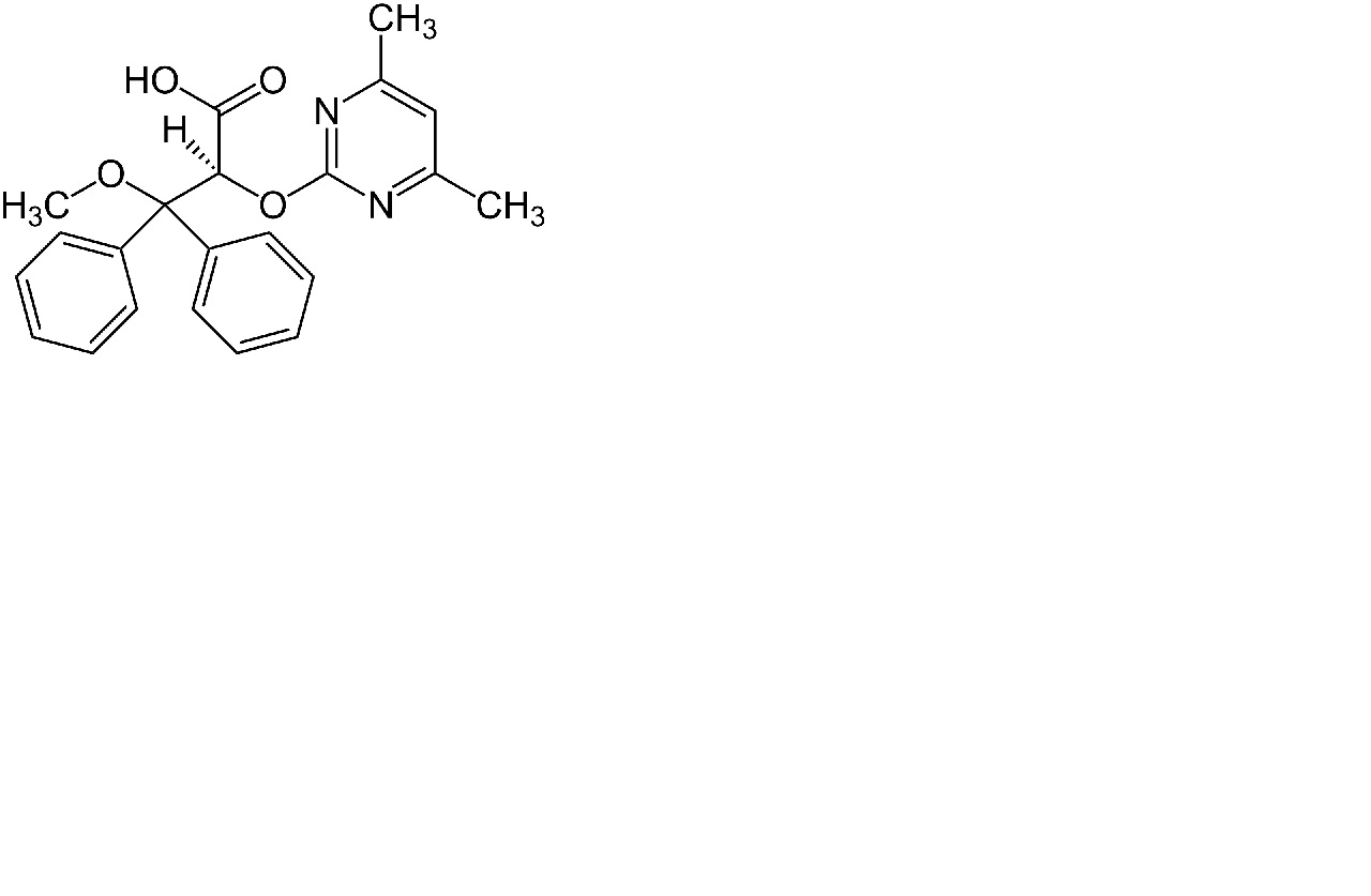
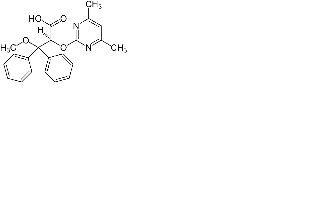
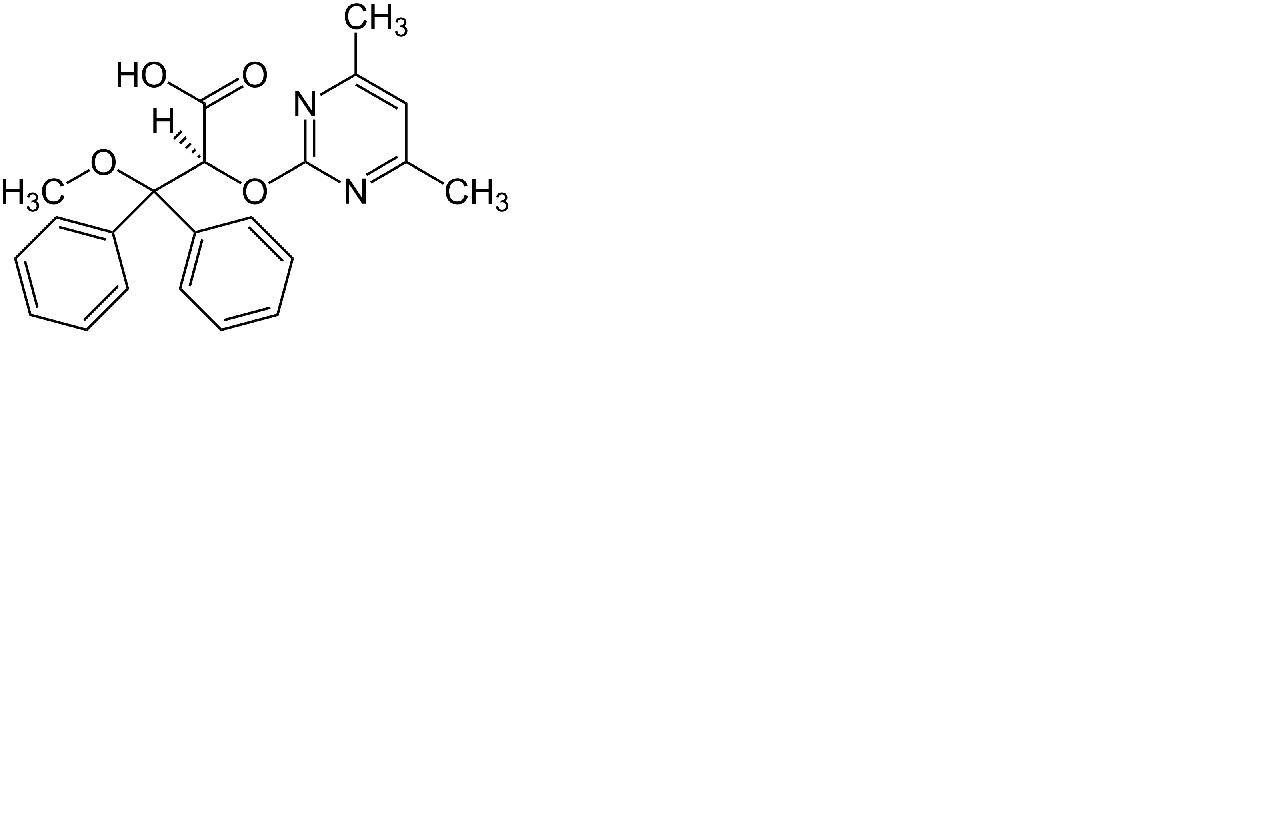
   Ķīmiskā uzbūve   

Orāls šķīdums
Stabilitāte farmaceitisko preparātu   Orāls šķīdums   Stabilitāte farmaceitisko preparātu : Ambrisentan     
Iepakojums Origine Palīgviela Temperatūra Glabāšana Stabilitātes ilgums Literatūras saraksts
Plastmasas pudele Tabletes 30 mg
® = Gilead Sciences
Glicerīns 2,5 mL
OraPlus® 15 mL
Orasweet® 12,5 mL
21-27°C Aizsargāt no gaismas
90 Diena
4560
Pierādījumu līmenis D

Plastmasas pudele Tabletes 30 mg
® = Gilead Sciences
Glicerīns 2,5 mL
OraPlus® 15 mL
Orasweet® 12,5 mL
3,2-4,8°C Aizsargāt no gaismas
90 Diena
4560
Pierādījumu līmenis D


  Mentions Légales