Laatste update :
18/03/2026
Infostab
Stoffenlijst
Zoeken via pictogrammen
zoeken naar verenigbaarheden
Y-site verenigbaarheden tabel
Literatuur
onderzoeksgroepen
valistab
Poster
Verbindingen
sponsors
Auteur
Gebruiksaanwijzing
Nieuwsbrief
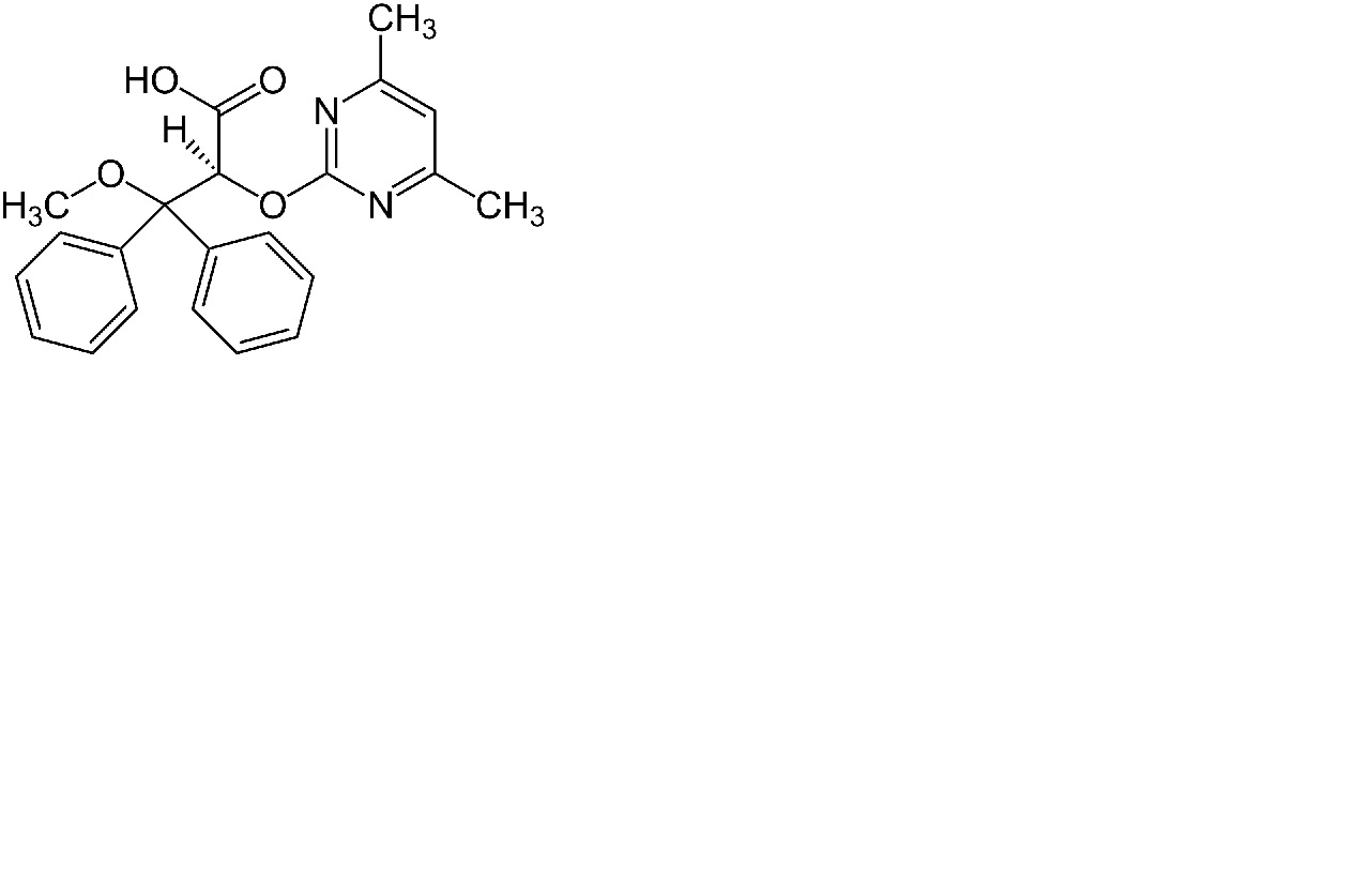
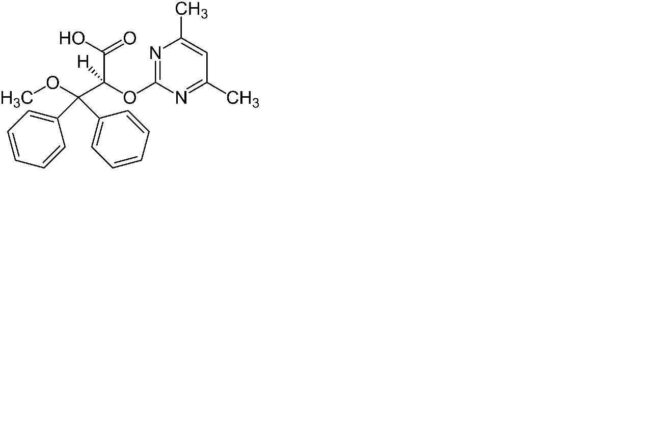
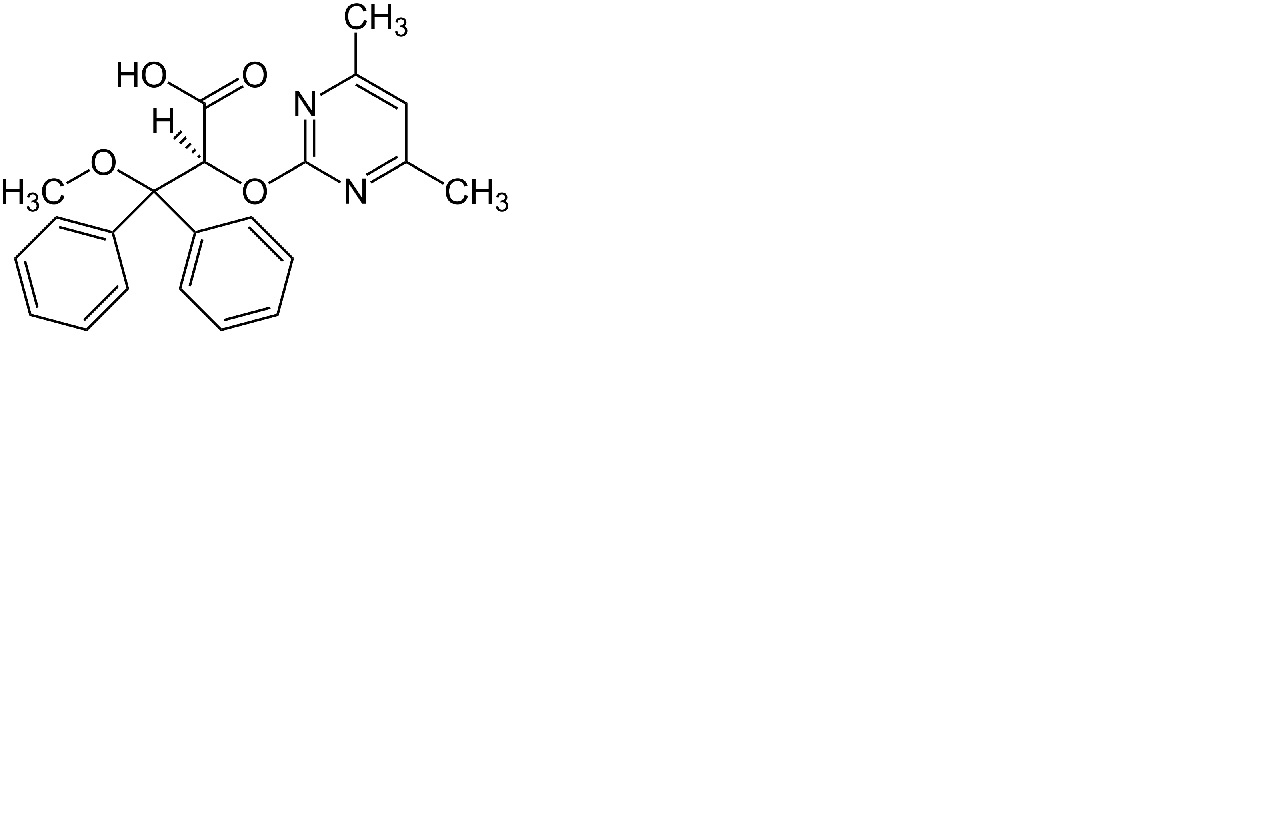
Ambrisentan
Molecuulstructuur
Stabiliteit van farmaceutische preparaten : Ambrisentan
30 mg
® = Gilead Sciences
Glycerine
2,5 mL
OraPlus®
15 mL
Orasweet®
12,5 mL
21-27°C
90
4560
30 mg
® = Gilead Sciences
Glycerine
2,5 mL
OraPlus®
15 mL
Orasweet®
12,5 mL
3,2-4,8°C
90
4560
Mentions Légales