Zadnji put ažurirano :
04/02/2026
vazodilatator   Ambrisentan  
oralna otopina
Stabilnost farmaceutskih pripravaka Stabilnost mješavine Stabilizacijski faktor Kompatibilnosti Bibliografija pdf
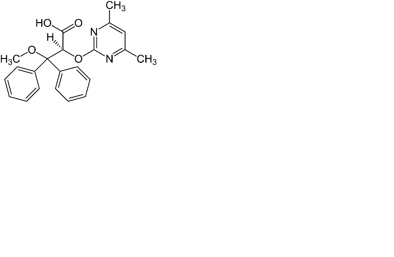
   Kemijska struktura  

oralna otopina
Stabilnost farmaceutskih pripravaka   oralna otopina     Stabilnost farmaceutskih pripravaka : Ambrisentan     
Kontejner Origine pomoćna tvar temperatura Konzerviranje Trajanje stabilnosti Bibliografija
plastična boca tablete 30 mg
® = Gilead Sciences
Glicerin 2,5 mL
OraPlus® 15 mL
Orasweet® 12,5 mL
21-27°C Zaštićeno od svjetlosti
90 dan
4560
Razina dokaza D

plastična boca tablete 30 mg
® = Gilead Sciences
Glicerin 2,5 mL
OraPlus® 15 mL
Orasweet® 12,5 mL
3,2-4,8°C Zaštićeno od svjetlosti
90 dan
4560
Razina dokaza D


  Mentions Légales