最新更新 :
18/03/2026
血管拡張薬   Ambrisentan  
経口液
調剤時の安定性 混合時の安定性 安定性に影響する因子 互換性 引用文献 PDF
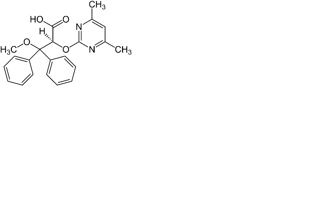
   化学構造  

経口液
調剤時の安定性   経口液   調剤時の安定性 : Ambrisentan     
容器 Origine 添加剤 温度 保管 安定期間 引用文献
プラスチックボトル 錠剤 30 mg
® = Gilead Sciences
グリセリン 2,5 mL
OraPlus® 15 mL
Orasweet ® 12,5 mL
21-27°C 遮光
90 日
4560
エビデンスレベル D

プラスチックボトル 錠剤 30 mg
® = Gilead Sciences
グリセリン 2,5 mL
OraPlus® 15 mL
Orasweet ® 12,5 mL
3,2-4,8°C 遮光
90 日
4560
エビデンスレベル D


  Mentions Légales