zadnja posodobitev :
18/03/2026
Vazodilatator   Ambrisentan  
Peroralna raztopina
Stabilnost farmacevtskih preparatov Stabilnost mešanice Faktorji, ki vplivajo na stabilnost Kompatibilnost Viri pdf
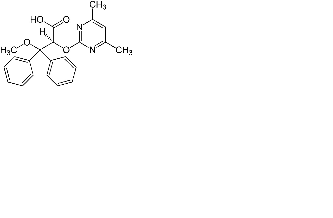
   Kemična formula  

Peroralna raztopina
Stabilnost farmacevtskih preparatov   Peroralna raztopina   Stabilnost farmacevtskih preparatov : Ambrisentan     
Vsebnik Origine Ekscipient Temperatura Shranjevanje Trajanje stabilnosti Viri
Plastenka Tablete 30 mg
® = Gilead Sciences
Glicerin 2,5 mL
OraPlus® 15 mL
Orasweet® 12,5 mL
21-27°C Zaščiteno pred svetlobo
90 Dan
4560
 Stopnja dokaza D

Plastenka Tablete 30 mg
® = Gilead Sciences
Glicerin 2,5 mL
OraPlus® 15 mL
Orasweet® 12,5 mL
3,2-4,8°C Zaščiteno pred svetlobo
90 Dan
4560
 Stopnja dokaza D


  Mentions Légales