Poslední aktualizace :
18/03/2026
Vasodilatans   Ambrisentan  
Perorální roztok
Stabilita farmaceutických přípravků Stabilita směsí Faktory ovlivňující stabilitu Kompatibilita Odkazy pdf
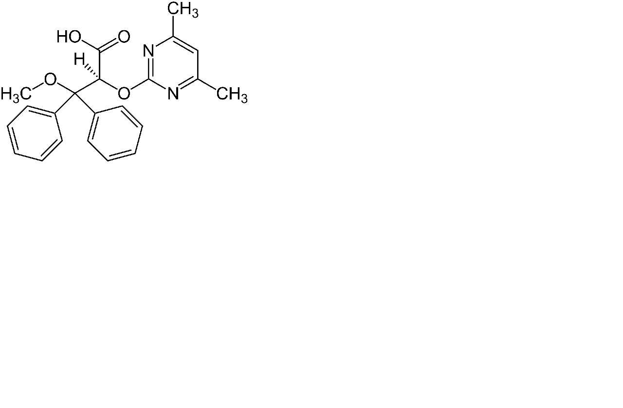
   Chemický vzorec  

Perorální roztok
Stabilita farmaceutických přípravků   Perorální roztok   Stabilita farmaceutických přípravků : Ambrisentan     
Obal Origine Pomocné látky Teplota Uchovávání Trvání stability Odkazy
plastová láhev tablety 30 mg
® = Gilead Sciences
glycerol 2,5 mL
OraPlus® 15 mL
Orasweet® 12,5 mL
21-27°C Chráněno před světlem
90 Den
4560
Úroveň zkoušky D

plastová láhev tablety 30 mg
® = Gilead Sciences
glycerol 2,5 mL
OraPlus® 15 mL
Orasweet® 12,5 mL
3,2-4,8°C Chráněno před světlem
90 Den
4560
Úroveň zkoušky D


  Mentions Légales