Последно актуализиране :
27/11/2025
Вазодилататор   Ambrisentan  
Орален разтвор
Стабилност на лекарствени препарати Стабилност на смеси Фактори, повлияващи стабилността Съвместимост Библиография Pdf
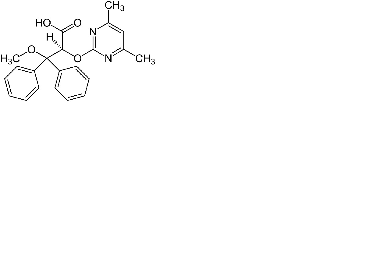
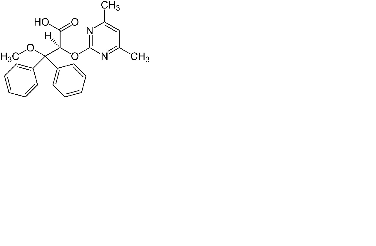
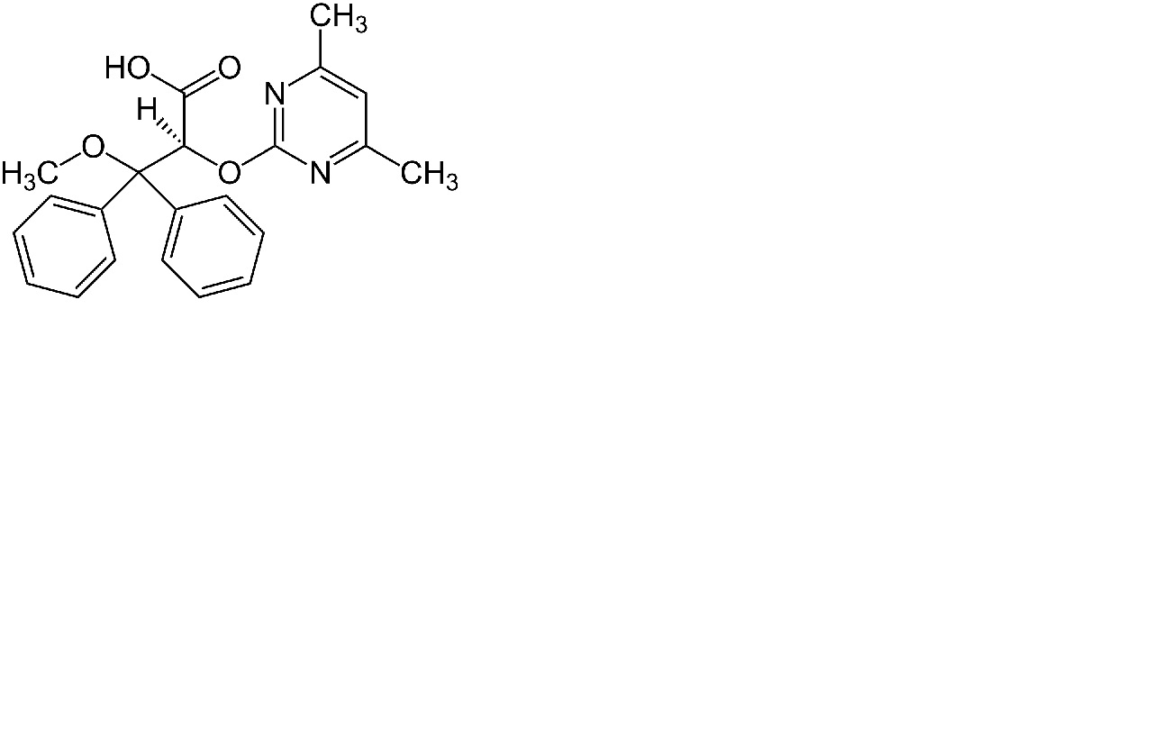
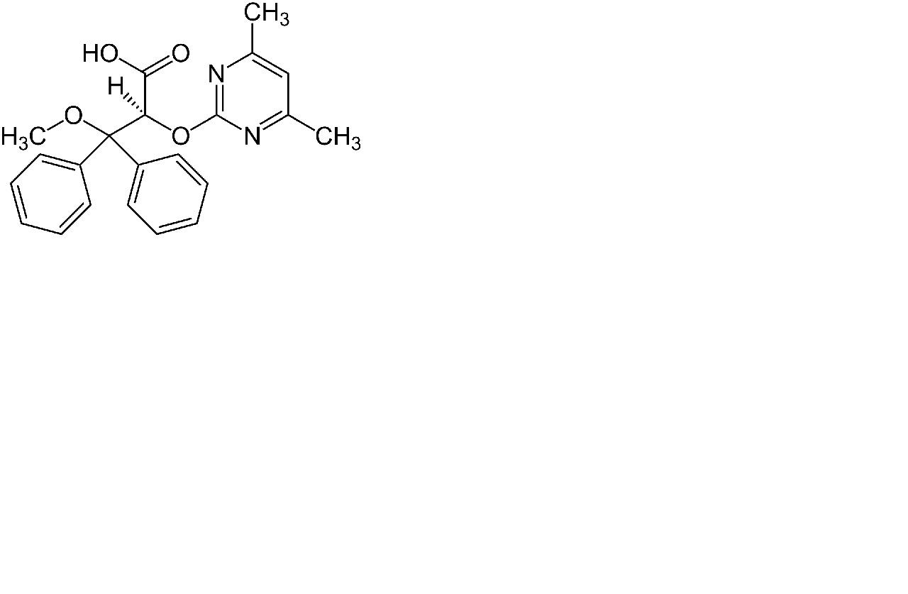
   Химична структура  

Орален разтвор
Стабилност на лекарствени препарати   Орален разтвор   Стабилност на лекарствени препарати : Ambrisentan     
Контейнер Origine Помощно вещество Температура Съхранение Продължителност на стабилността Библиография
Пластмасова бутилка таблетки 30 mg
® = Gilead Sciences
Глицерин 2,5 mL
Ораплюс® 15 mL
Орасуит® 12,5 mL
21-27°C Защита от светлина
90 Ден
4560
Степен на доказаност D

Пластмасова бутилка таблетки 30 mg
® = Gilead Sciences
Глицерин 2,5 mL
Ораплюс® 15 mL
Орасуит® 12,5 mL
3,2-4,8°C Защита от светлина
90 Ден
4560
Степен на доказаност D


  Mentions Légales