Poslední aktualizace :
18/03/2026
Kraujagysles plečiantis vaistas   Ambrisentan  
Geriamas tirpalas
Stabilumas farmacinių preparatų Mišinių stabilumas Stabilumą lemiantys veiksniai Suderinamumas Bibliografija pdf
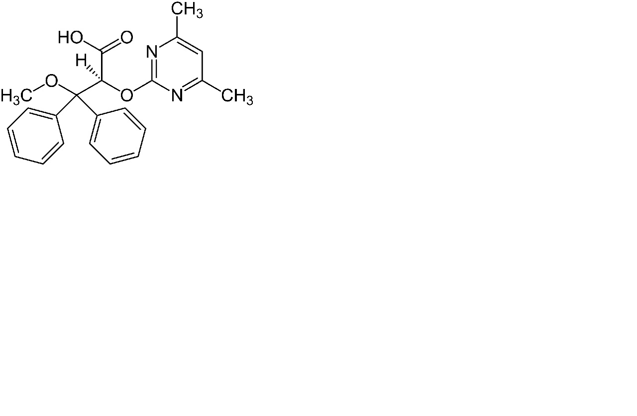
   Cheminė sandara  

Geriamas tirpalas
Stabilumas farmacinių preparatų   Geriamas tirpalas   Stabilumas farmacinių preparatų : Ambrisentan     
Pakuotė Origine Ekscipientas Temperatūra Laikymas Stabilumo trukmė Nuorodos
Plastikinis butelis Tabletės 30 mg
® = Gilead Sciences
Glicerinas 2,5 mL
OraPlus® 15 mL
Orasweet® 12,5 mL
21-27°C Apsaugotas nuo šviesos
90 Diena
4560
Bandymo lygis D

Plastikinis butelis Tabletės 30 mg
® = Gilead Sciences
Glicerinas 2,5 mL
OraPlus® 15 mL
Orasweet® 12,5 mL
3,2-4,8°C Apsaugotas nuo šviesos
90 Diena
4560
Bandymo lygis D


  Mentions Légales