Posledná aktualizácia :
18/03/2026
Infostab
Zoznam zlúčenín
Sumárne zoznamy
Vyhľadávanie kompatibilít
Tabuľka kompatibilít pre inf. spojku Y
Odkazy na literatúru
výskumné tímy
valistab
Poster
Pripojenie
sponzori
Autori
Príručka používateľa
Newsletter
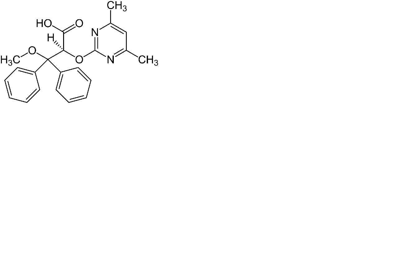
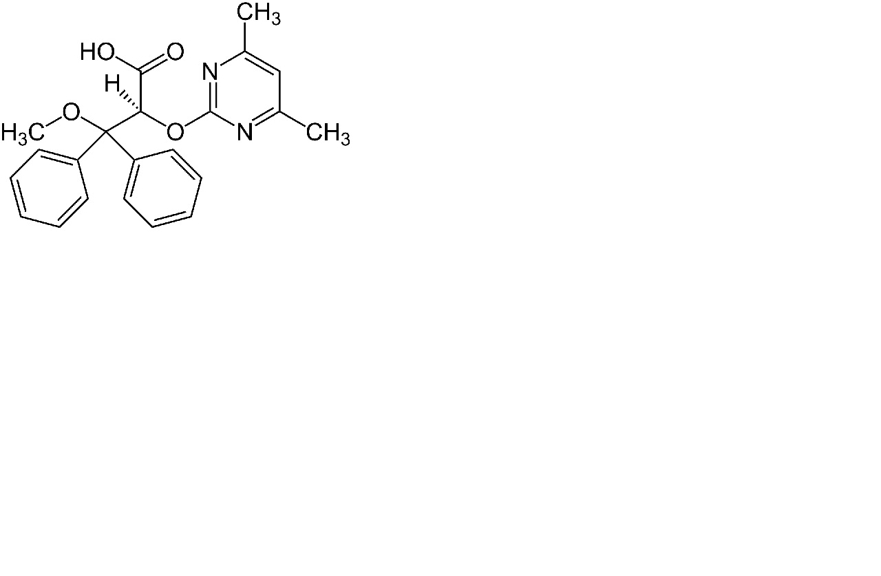
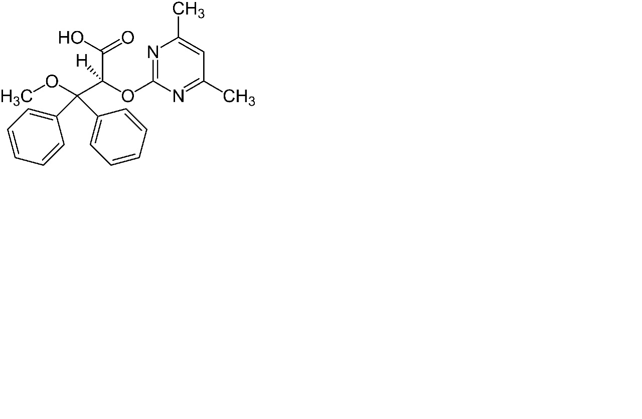
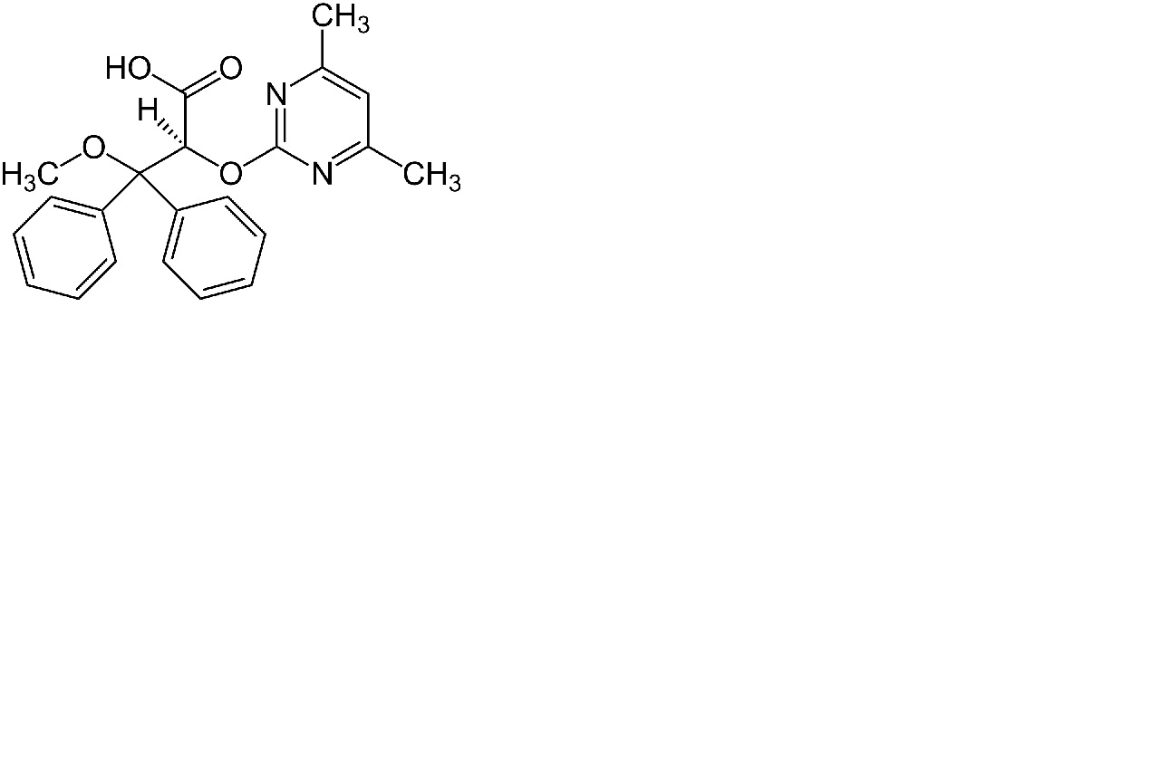
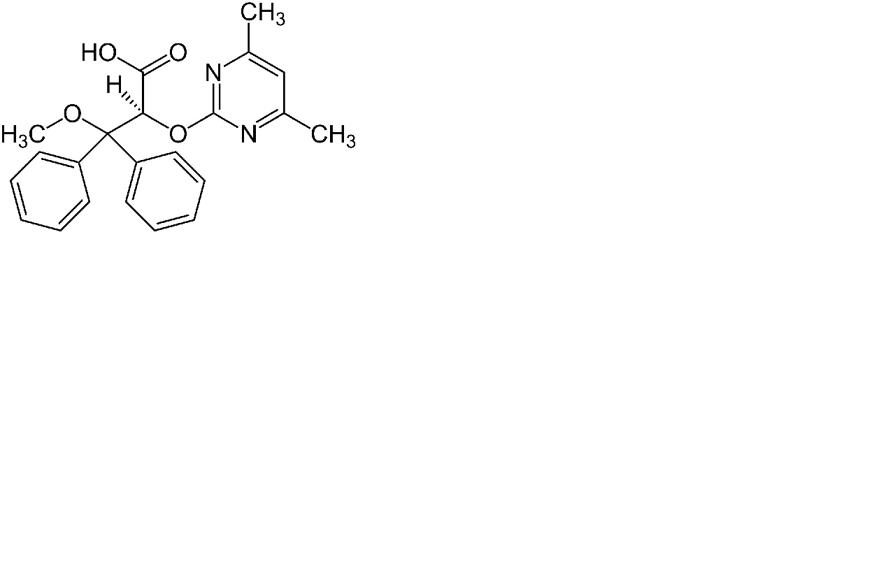
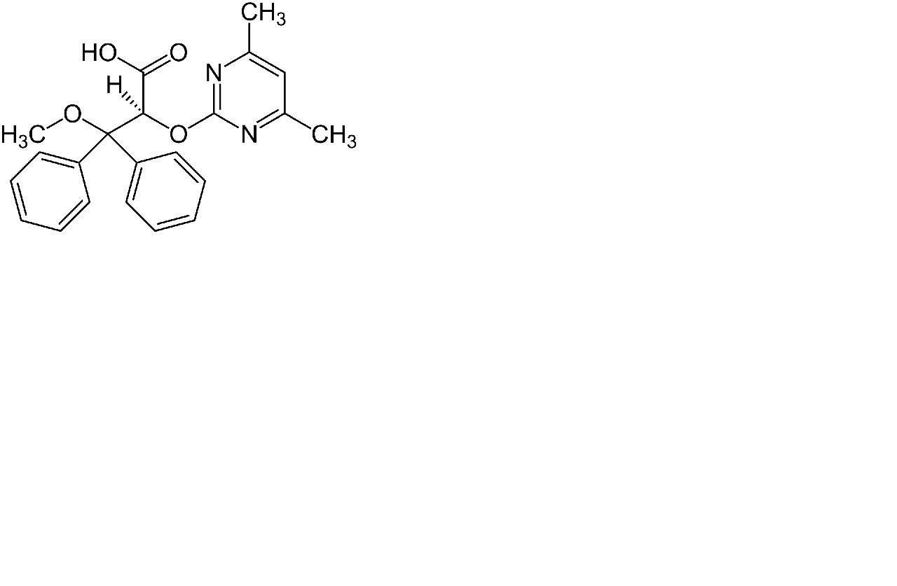
Ambrisentan
Chemický vzorec
Stabilita farmaceutických prípravkov : Ambrisentan
30 mg
® = Gilead Sciences
Glycerol
2,5 mL
OraPlus®
15 mL
Orasweet®
12,5 mL
21-27°C
90
4560
30 mg
® = Gilead Sciences
Glycerol
2,5 mL
OraPlus®
15 mL
Orasweet®
12,5 mL
3,2-4,8°C
90
4560
Mentions Légales