Son güncelleme :
27/11/2025
Vazodilatör   Ambrisentan  
Oral solüsyon / oral çözelti
Farmasötik preparatlar Kararlılığı Karışımlardaki stabilitesi Stabiliteyi etkileyen faktörler Uyumluluk Kaynaklar pdf
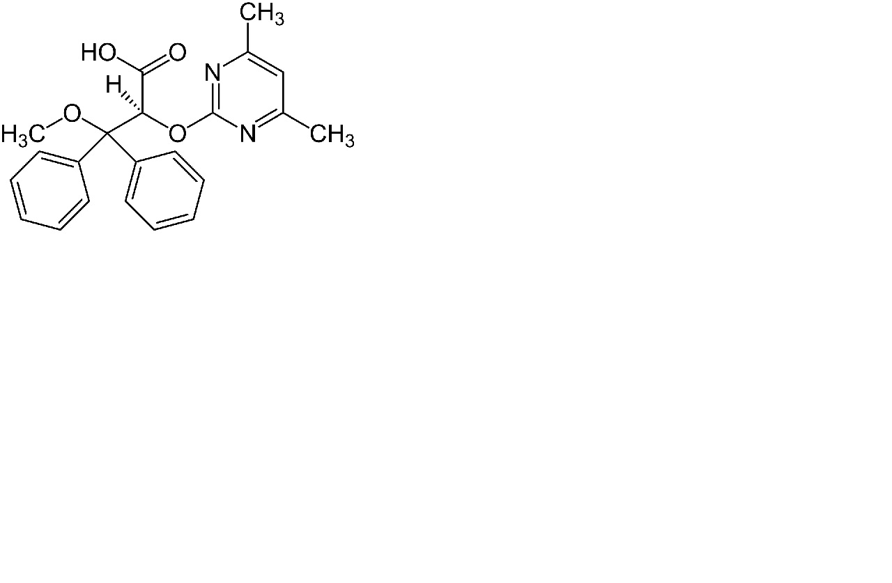
   Kimyasal yapı   

Oral solüsyon / oral çözelti
Farmasötik preparatlar Kararlılığı   Oral solüsyon / oral çözelti   Farmasötik preparatlar Kararlılığı : Ambrisentan     
Saklama kabı Origine yardımcı madde Isı Saklama    Stabilite süresi Kaynaklar
Plastik şişe Tabletler 30 mg
® = Gilead Sciences
Gliserin 2,5 mL
OraPlus® 15 mL
Orasweet® 12,5 mL
21-27°C Işıktan koruyunuz
90 Gün
4560
Kanıt düzeyi D

Plastik şişe Tabletler 30 mg
® = Gilead Sciences
Gliserin 2,5 mL
OraPlus® 15 mL
Orasweet® 12,5 mL
3,2-4,8°C Işıktan koruyunuz
90 Gün
4560
Kanıt düzeyi D


  Mentions Légales