Last update :
27/11/2025
Vasodilator   Ambrisentan  
Oral solution
Stability of pharmaceutical preparations Stability of mixtures Factors which affect stability Compatibility References pdf
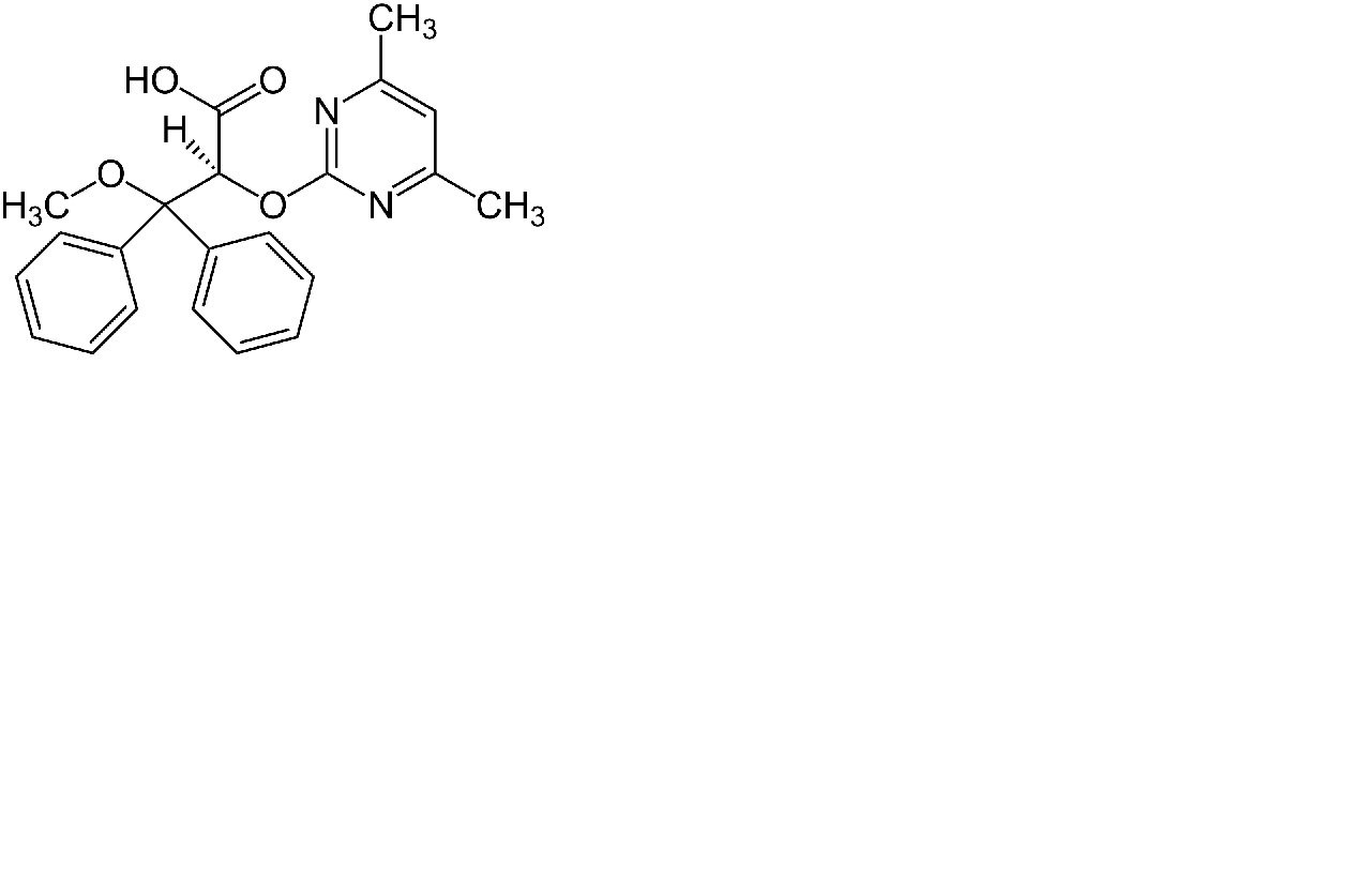
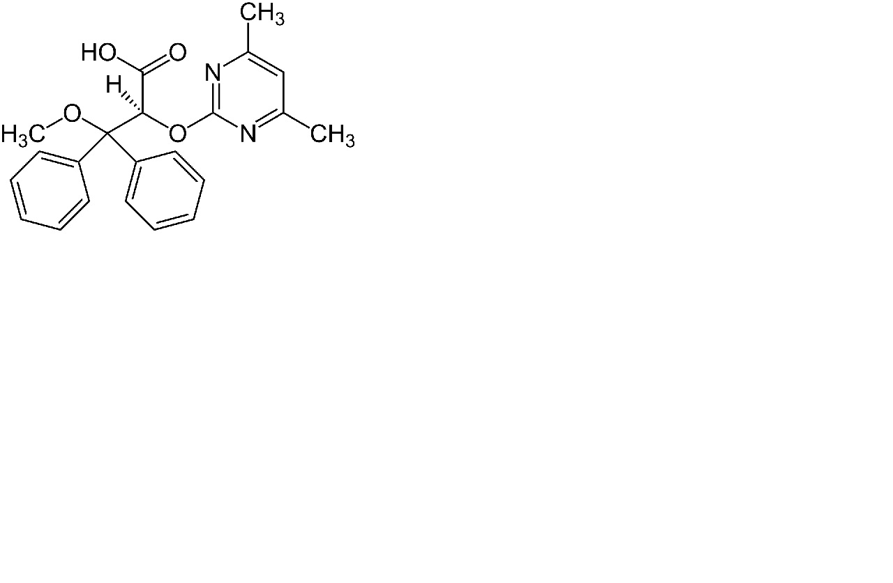
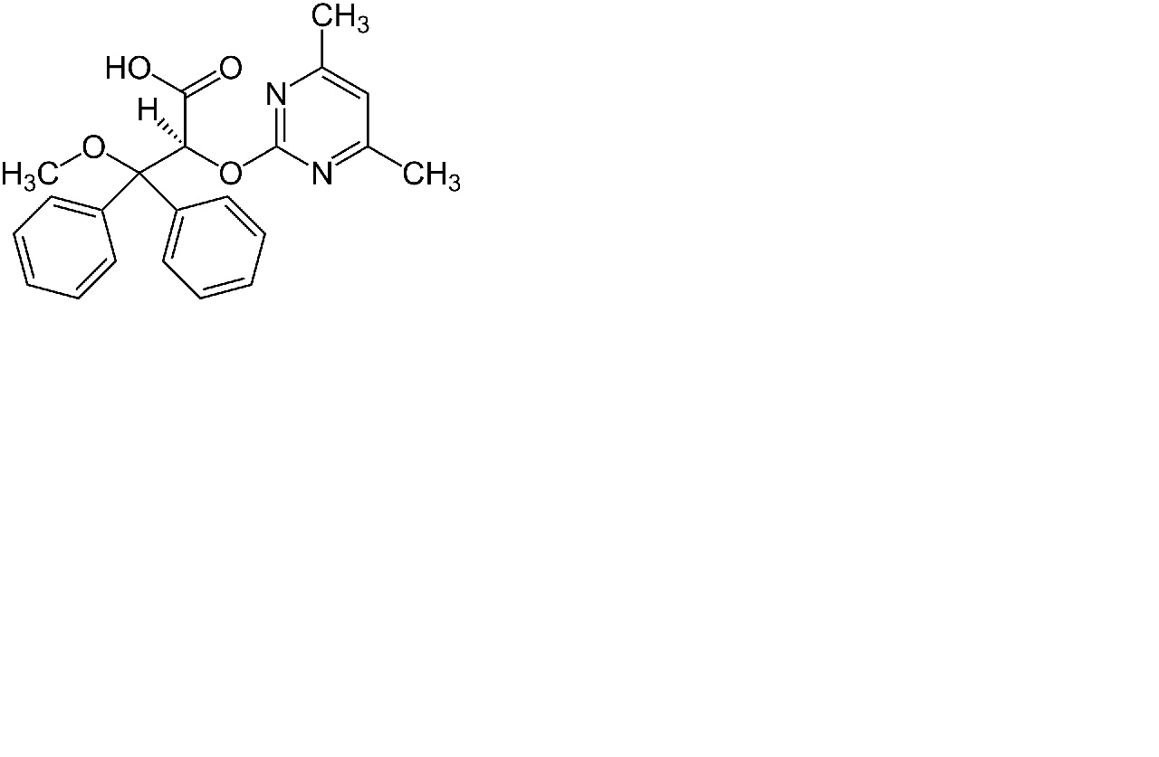
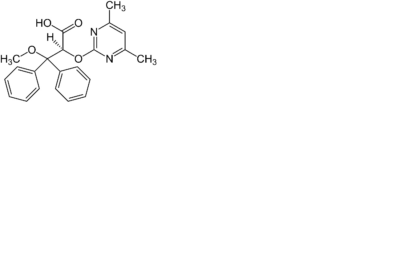
   Chemical structure  

Oral solution
Stability of pharmaceutical preparations   Oral solution   Stability of pharmaceutical preparations : Ambrisentan     
Container Origine excipient Temperature Storage Duration of stability References
plastic bottle tablets 30 mg
® = Gilead Sciences
Glycerin 2,5 mL
OraPlus® 15 mL
Orasweet® 12,5 mL
21-27°C Protect from light
90 Day
4560
Level of evidence D

plastic bottle tablets 30 mg
® = Gilead Sciences
Glycerin 2,5 mL
OraPlus® 15 mL
Orasweet® 12,5 mL
3,2-4,8°C Protect from light
90 Day
4560
Level of evidence D


  Mentions Légales