Останнє оновлення :
18/03/2026
Антигіпертензивний   Nitrendipine  
Розчин для перорального застосування
Стабільність фармацевтичних препаратів Стійкість сумішей Фактори, що впливають на стабільність Сумісність Список літератури pdf
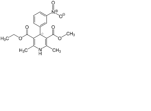
   Хімічна структура  

Розчин для перорального застосування
Стабільність фармацевтичних препаратів   Розчин для перорального застосування   Стабільність фармацевтичних препаратів : Nitrendipine     
Контейнер Origine допоміжна речовина температура Зберігання Тривалість стабільності Список літератури
скло таблетки 500 mg
Nidrel®
SyrSpend SF PH4® >> 100 ml
23-25°C Берегти від світла
90 День
4087


  Mentions Légales