Τελευταία ενημέρωση :
03/02/2026
Infostab
Καταστάσεις
Περίληψη καταλόγων
Αναζήτηση συμβατοτήτων
Πίνακας Συμβατότητας Υ κέντρου
Βιβλιογραφία
Ερευνητικές ομάδες
valistab
αφίσα
συνδέσεις
χορηγούς
Συγγραφείς
Οδηγίες χρήσης
Ενημερωτικό δελτίο
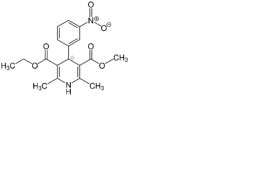
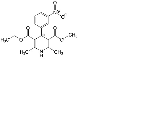
Nitrendipine
χημική δομή
Σταθερότητα και συμβατότητα των φαρμάκων : Nitrendipine
500 mg
Nidrel®
SyrSpend SF PH4®
>> 100 ml
23-25°C
90
4087
Mentions Légales