Ostatnia aktualizacja :
05/12/2025
Lek przeciwnadciśnieniowy   Nitrendipine  
Roztwór doustny
Stabilność preparatów farmaceutycznych Trwałość w mieszaninie Czynnik wpływający na trwałość Zgodność Bibliografia pdf
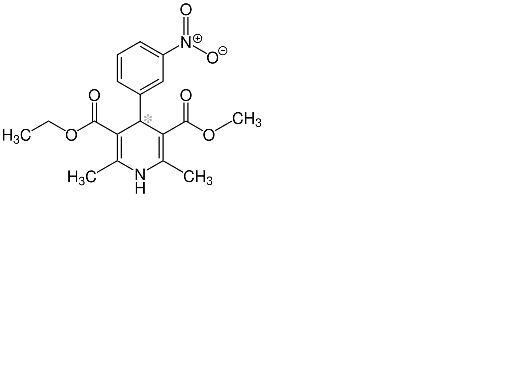
   Struktura chemiczna  

Roztwór doustny
Stabilność preparatów farmaceutycznych   Roztwór doustny   Stabilność preparatów farmaceutycznych : Nitrendipine     
Pojemnik Origine Substancja pomocniczna Temperatura Przechowywanie Czas trwania stabilności Bibliografia
Szkło Tabletki 500 mg
Nidrel®
SyrSpend SF PH4® >> 100 ml
23-25°C Chronić od światła
90 Dzień
4087


  Mentions Légales