Последно актуализиране :
18/03/2026
Антихипертензивно средство   Nitrendipine  
Орален разтвор
Стабилност на лекарствени препарати Стабилност на смеси Фактори, повлияващи стабилността Съвместимост Библиография Pdf
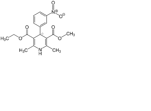
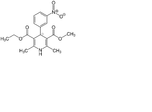
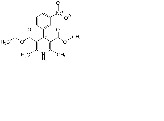
   Химична структура  

Орален разтвор
Стабилност на лекарствени препарати   Орален разтвор   Стабилност на лекарствени препарати : Nitrendipine     
Контейнер Origine Помощно вещество Температура Съхранение Продължителност на стабилността Библиография
Стъкло таблетки 500 mg
Nidrel®
SyrSpend SF PH4® >> 100 ml
23-25°C Защита от светлина
90 Ден
4087


  Mentions Légales