viimane versioon :
18/03/2026
Antihüpertensiivne ravim   Nitrendipine  
suukaudne lahus
Stabiilsust ravimpreparaadid Stabiilsust mõjutavad tegurid stabiilsust mõjutavad faktorid Sobimatus Viited pdf
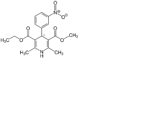
   keemiline struktuur  

suukaudne lahus
Stabiilsust ravimpreparaadid   suukaudne lahus   Stabiilsust ravimpreparaadid : Nitrendipine     
konteiner Origine  abiaine temperatuur ladustamine Stabiilsuse kestus Viited
klaas tabletid 500 mg
Nidrel®
SyrSpend SF PH4® >> 100 ml
23-25°C kaitsta valguse eest
90 päev
4087


  Mentions Légales