Letztes “update” :
03/02/2026
Infostab
Molekülverzeichnis
Zusammenfassende Listen
Suche nach kompatibilitäten
Y-Kompatibilitätstabelle
Literaturverzeichnis
Forschungsgruppen
valistab
Poster
Links
Sponsoren
Autoren
Hinweise fûr den Benutzer
Newsletter
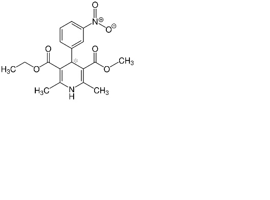
Nitrendipine
Chemische Struktur
Stabilität von pharmazeutischen Präparaten : Nitrendipine
500 mg
Nidrel®
SyrSpend SF PH4®
>> 100 ml
23-25°C
90
4087
Mentions Légales