Ultimele actualizari :
18/03/2026
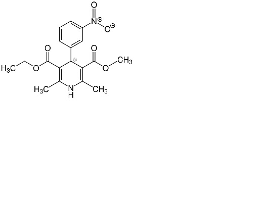
Antihipertensiv   Nitrendipine  
Soluţie orală
Stabilitatea preparatelor farmaceutice Stabilitatea in amestec Factorii care influenteaza stabilitatea Compatibilitate Bibliografie pdf
   Formula chimica  

Soluţie orală
Stabilitatea preparatelor farmaceutice   Soluţie orală   Stabilitatea preparatelor farmaceutice : Nitrendipine     
Continut Origine Excipient Temperatura Conservare Durata stabilității Bibiografie
sticla Comprimate 500 mg
Nidrel®
SyrSpend SF PH4® >> 100 ml
23-25°C Ferit de lumina
90 Ziua
4087


  Mentions Légales