Seneste opdatering :
05/12/2025
Antihypertensiv   Nitrendipine  
Oral opløsning
Stabilitet af farmaceutiske tilberedninger Stabilitet i blandinger Faktorer der påvirker stabiliteten Kompatibilitet Bibliografi pdf
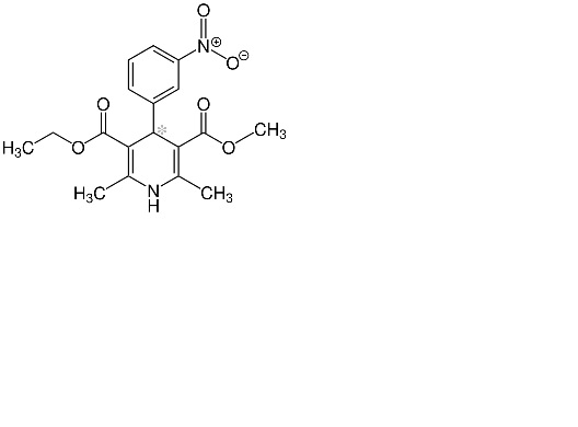
   Kemisk struktur  

Oral opløsning
Stabilitet af farmaceutiske tilberedninger   Oral opløsning   Stabilitet af farmaceutiske tilberedninger : Nitrendipine     
Beholder Origine Hjælpestof Temperatur Konservering Varighed af stabilitet Bibliografi
Glas Tabletter 500 mg
Nidrel®
SyrSpend SF PH4® >> 100 ml
23-25°C Beskyt mod lys
90 Dag
4087


  Mentions Légales