Última actualização :
05/12/2025
Antihipertensor   Nitrendipine  
Solução Oral
Estabilidade de preparações farmacêuticas Estabilidade em misturas Factores que afectam a sua estabilidade Compatibilidade Bibliografía pdf
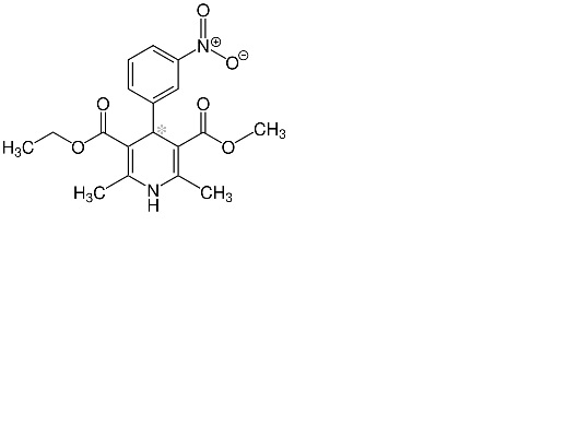
   estrutura química  

Solução Oral
Estabilidade de preparações farmacêuticas   Solução Oral   Estabilidade de preparações farmacêuticas : Nitrendipine     
Embalagem Origine excipiente temperatura conservação Duração da estabilidade Bibliografia
vidro comprimidos 500 mg
Nidrel®
SyrSpend SF PH4® >> 100 ml
23-25°C ao abrigo da luz
90 dia
4087


  Mentions Légales