Последнее обновление :
05/12/2025
Антигипертензивное средство   Nitrendipine  
Раствор для перорального приёма
Стабильность фармацевтических препаратов Стабильность смесей Факторы, которые влияют на стабильность Совместимость Библиография pdf
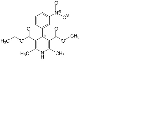
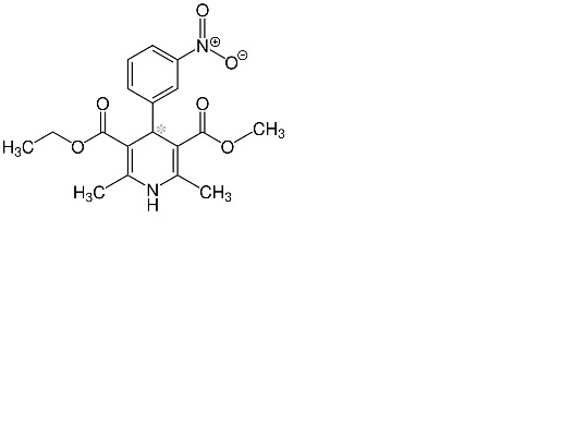
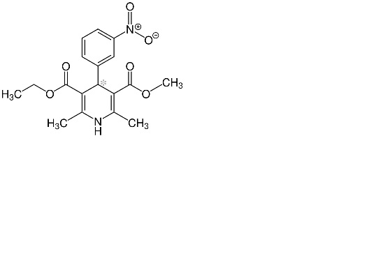
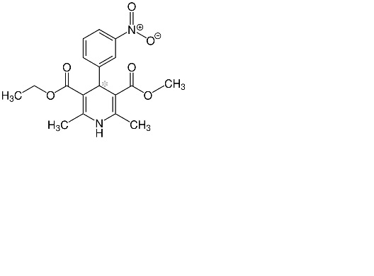
   Химическая структура  

Раствор для перорального приёма
Стабильность фармацевтических препаратов   Раствор для перорального приёма   Стабильность фармацевтических препаратов : Nitrendipine     
Упаковка Origine Наполнитель Температура Хранение Продолжительность стабильности Ссылки
Стекло Таблетки 500 mg
Nidrel®
SyrSpend SF PH4® >> 100 ml
23-25°C Защищён от света
90 День
4087


  Mentions Légales