最新更新 :
18/03/2026
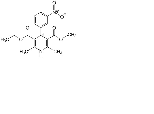
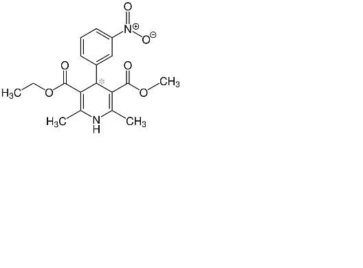
降圧药   Nitrendipine  
口服剂
制剂的稳定性 混合物稳定性 影响稳定性的因素 兼容性 引用文献 PDF
   化学式  

口服剂
制剂的稳定性   口服剂   制剂的稳定性 : Nitrendipine     
容器 Origine 添加剂 温度 保存 穩定持續時間 引用文献
玻璃 片剂 500 mg
Nidrel®
SyrSpend SF PH4® >> 100 ml
23-25°C 避光
90 白天
4087


  Mentions Légales