Son güncelleme :
03/02/2026
Antihipertansif   Nitrendipine  
Oral solüsyon / oral çözelti
Farmasötik preparatlar Kararlılığı Karışımlardaki stabilitesi Stabiliteyi etkileyen faktörler Uyumluluk Kaynaklar pdf
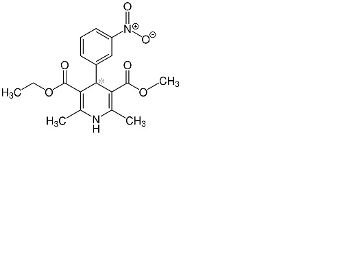
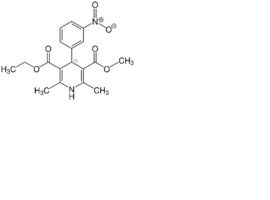
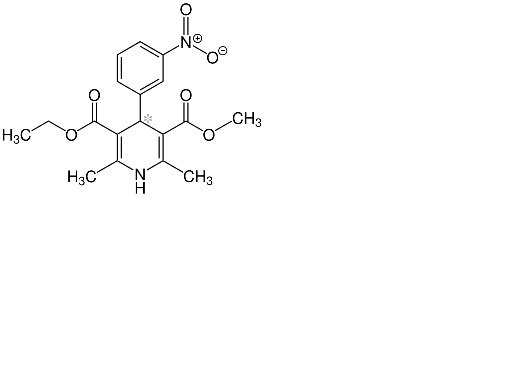
   Kimyasal yapı   

Oral solüsyon / oral çözelti
Farmasötik preparatlar Kararlılığı   Oral solüsyon / oral çözelti   Farmasötik preparatlar Kararlılığı : Nitrendipine     
Saklama kabı Origine yardımcı madde Isı Saklama    Stabilite süresi Kaynaklar
Cam Tabletler 500 mg
Nidrel®
SyrSpend SF PH4® >> 100 ml
23-25°C Işıktan koruyunuz
90 Gün
4087


  Mentions Légales