Cập nhật lần cuối :
18/03/2026
Thuốc chống nôn   Prochlorperazine edysilate  
Thuốc nhỏ mũi
Dạng tiêm
Tính ổn định của các chế phẩm Độ ổn định khi trộn lẫn Những yếu tố ảnh hưởng đến độ ổn định Khả năng tương thích Tài liệu tham khảo Pdf
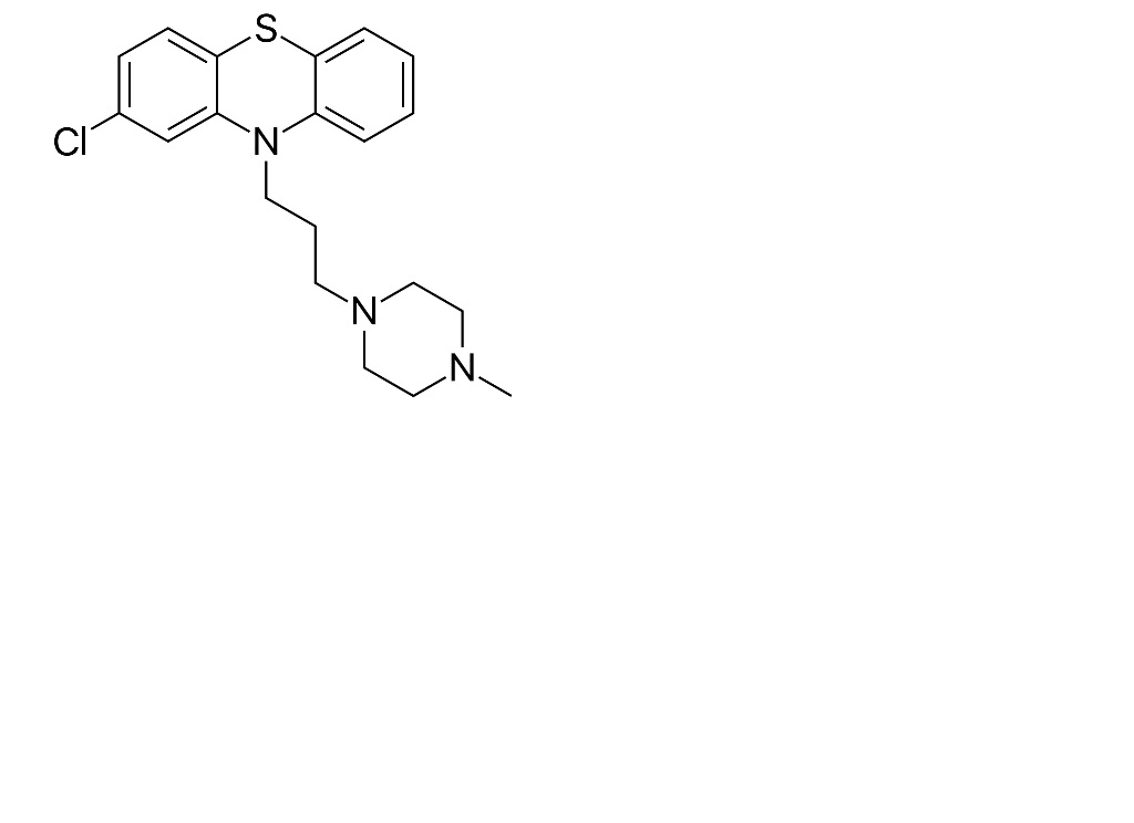
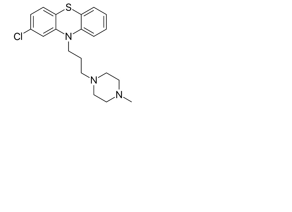
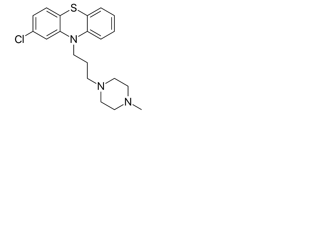
   Cấu trúc hóa học  

Thuốc nhỏ mũi
Khả năng tương thích   Thuốc nhỏ mũi   Khả năng tương thích : Prochlorperazine edysilate              
Không có dữ liệu

  Mentions Légales