Poslední aktualizace :
18/03/2026
Antiemetikum   Prochlorperazine edysilate  
nosní kapky
injekce
Stabilita farmaceutických přípravků Stabilita směsí Faktory ovlivňující stabilitu Kompatibilita Odkazy pdf
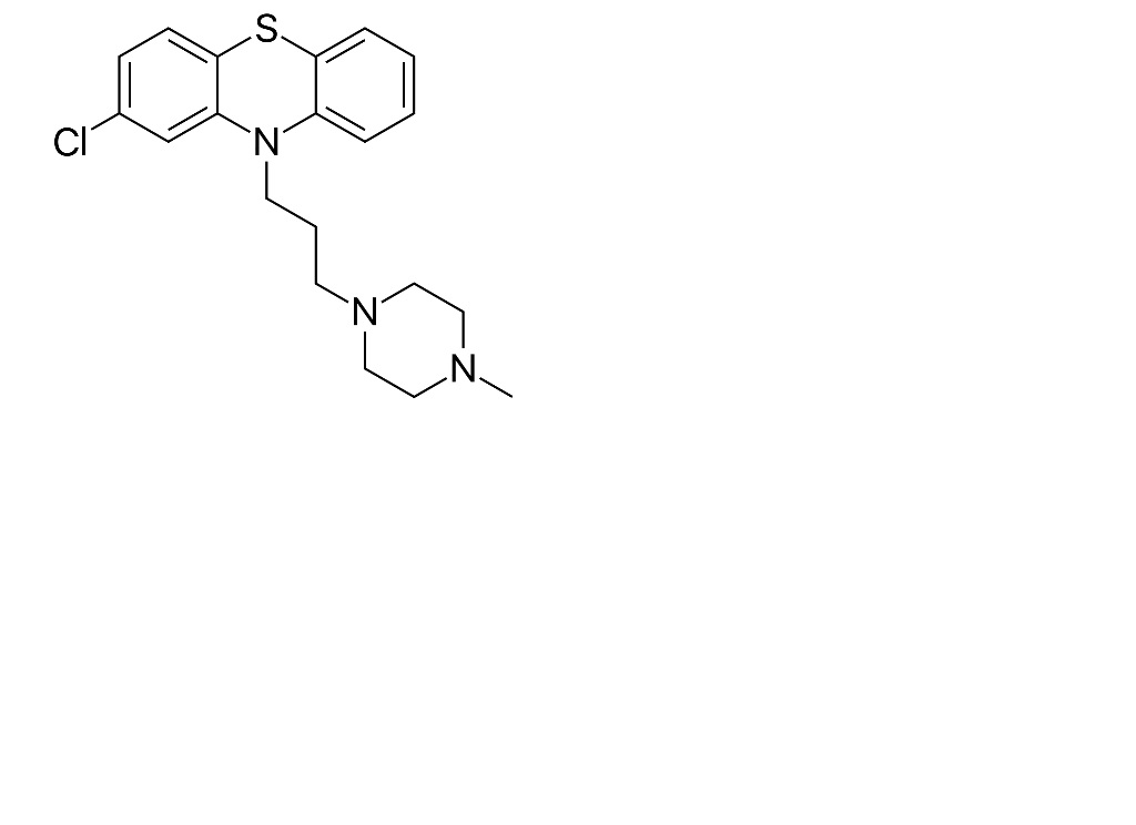
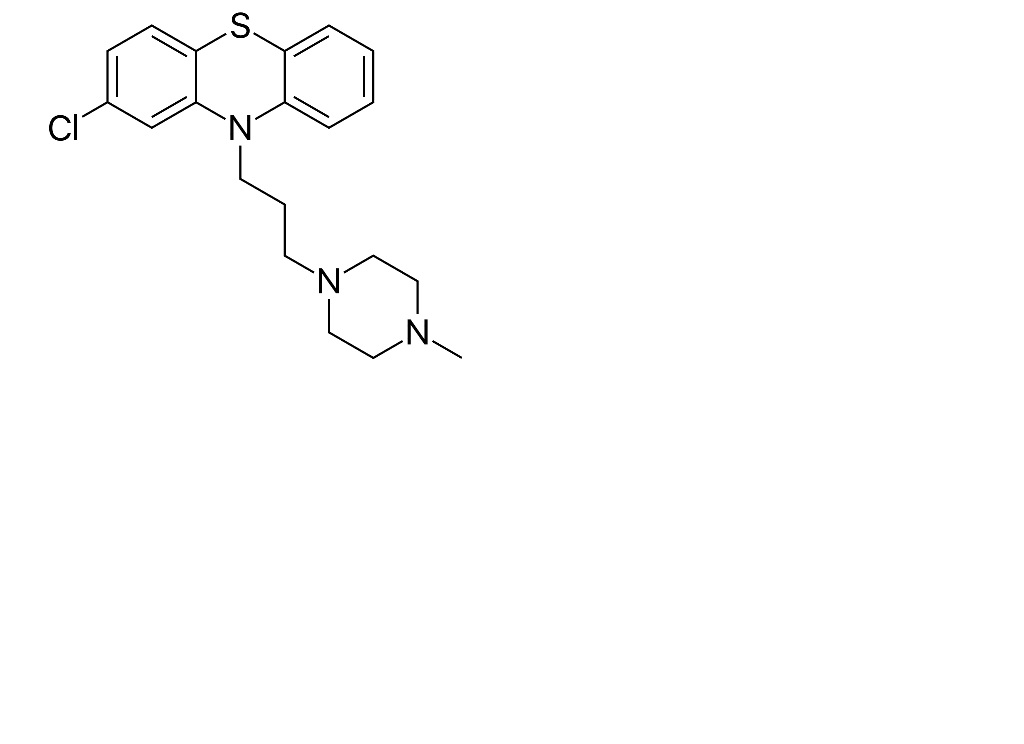
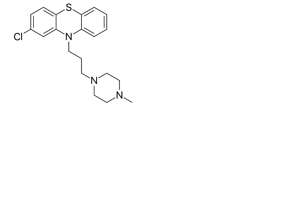
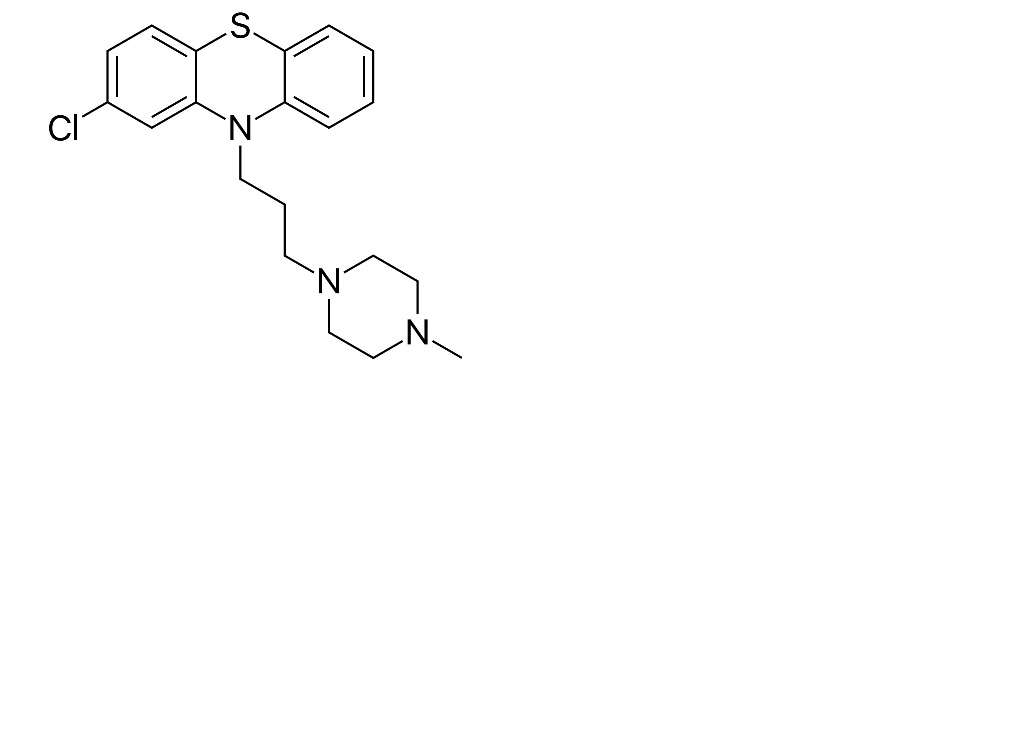
   Chemický vzorec  

nosní kapky
Kompatibilita   nosní kapky   Kompatibilita : Prochlorperazine edysilate              
žádná data

  Mentions Légales