Letztes “update” :
18/03/2026
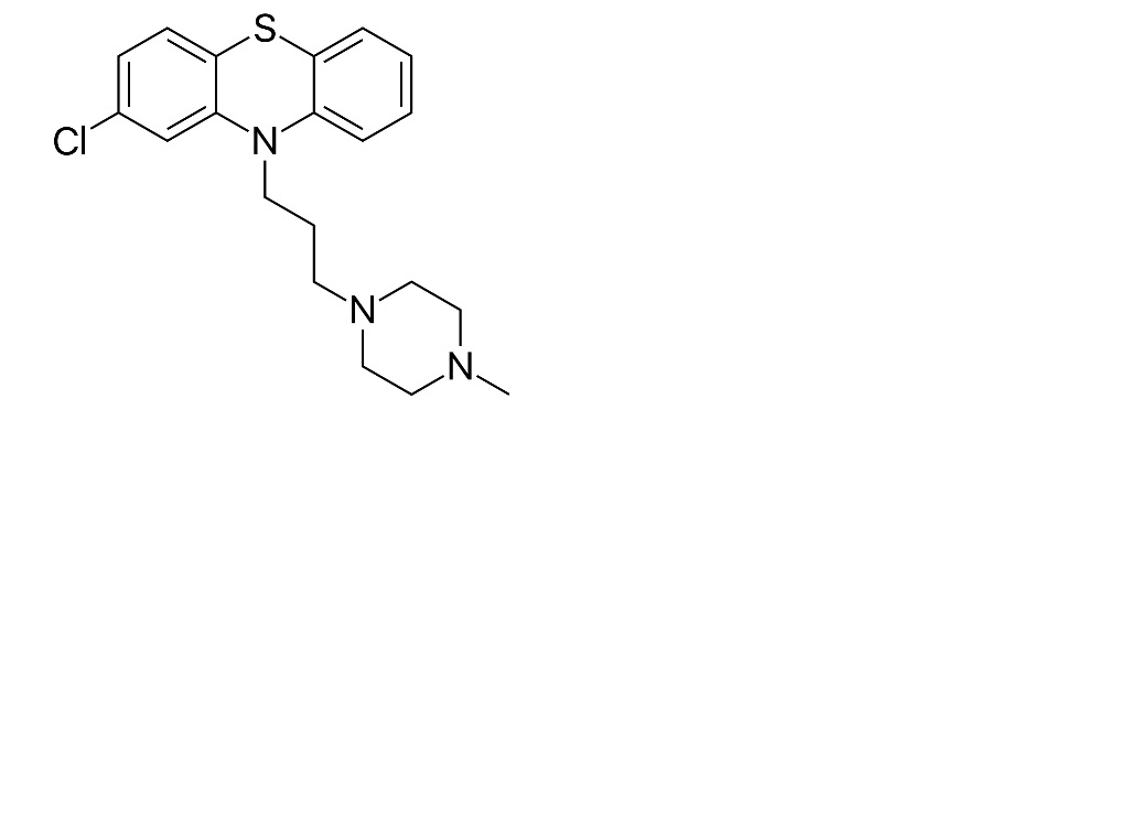
Antiemetikum   Prochlorperazine edysilate  
Nasentropfen
Injektion
Stabilität von pharmazeutischen Präparaten Gemengestabilität Stabilitätbeeinflussende Faktoren Kompatibilitäten Literaturverzeichnis pdf
   Chemische Struktur  

Nasentropfen
Kompatibilitäten   Nasentropfen   Kompatibilitäten : Prochlorperazine edysilate              
Keine Daten

  Mentions Légales