Son güncelleme :
18/03/2026
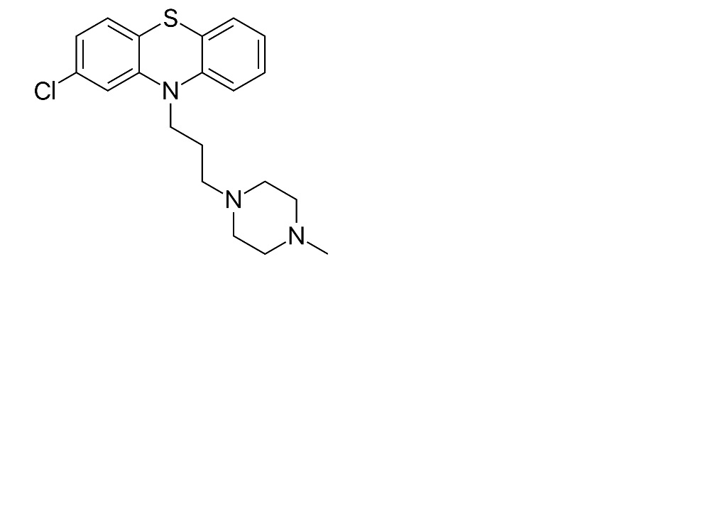
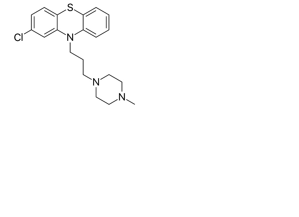
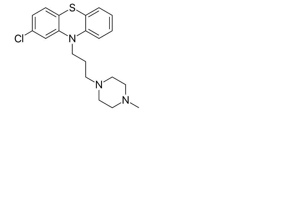
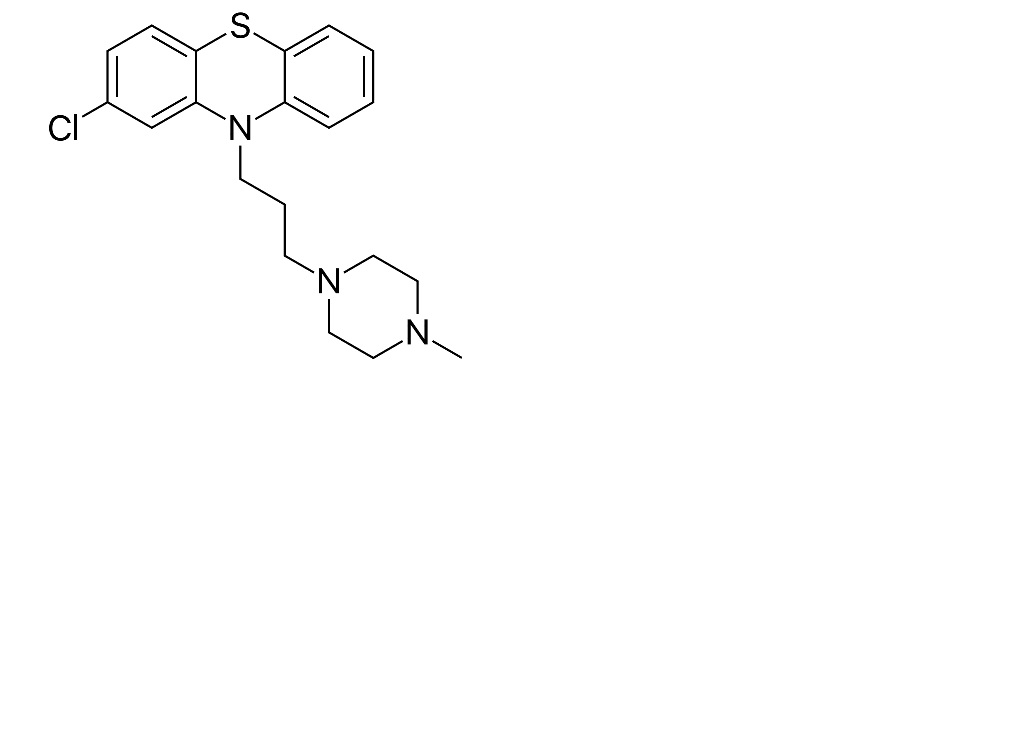
Antiemetik   Prochlorperazine edysilate  
burun damlaları
Enjeksiyon
Farmasötik preparatlar Kararlılığı Karışımlardaki stabilitesi Stabiliteyi etkileyen faktörler Uyumluluk Kaynaklar pdf
   Kimyasal yapı   

burun damlaları
Uyumluluk   burun damlaları   Uyumluluk : Prochlorperazine edysilate              
veri yok

  Mentions Légales