Last update :
18/03/2026
Antiemetic   Prochlorperazine edysilate  
nasal drops
injection
Stability of pharmaceutical preparations Stability of mixtures Factors which affect stability Compatibility References pdf
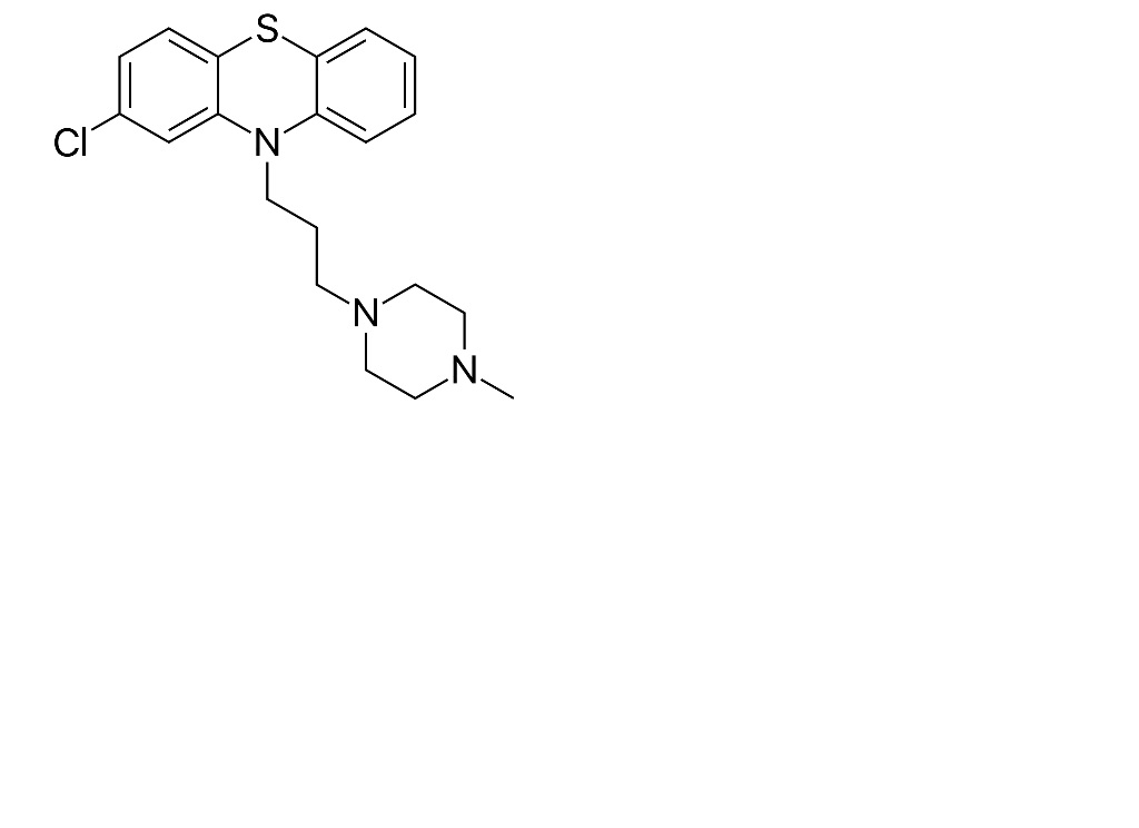
   Chemical structure  

nasal drops
Compatibility   nasal drops   Compatibility : Prochlorperazine edysilate              
No data

  Mentions Légales