Seneste opdatering :
18/03/2026
Antiemetisk   Prochlorperazine edysilate  
Næsedråber
Injektion
Stabilitet af farmaceutiske tilberedninger Stabilitet i blandinger Faktorer der påvirker stabiliteten Kompatibilitet Bibliografi pdf
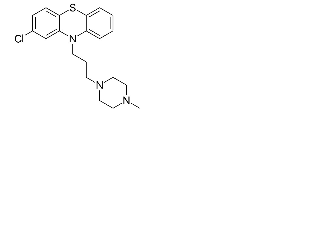
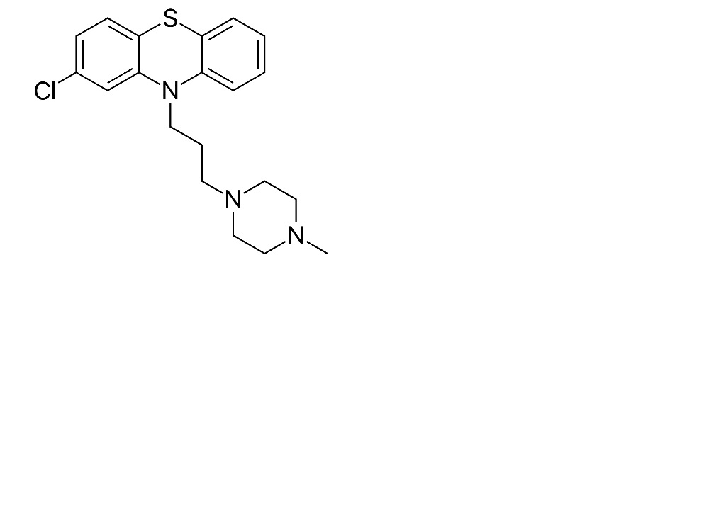
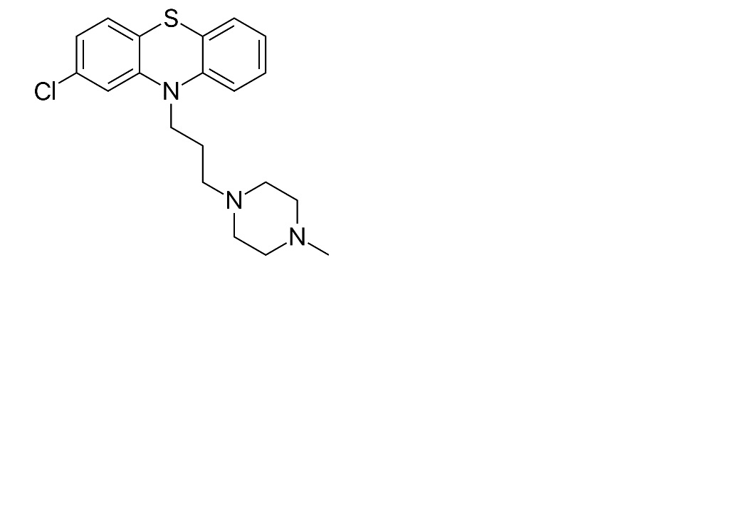
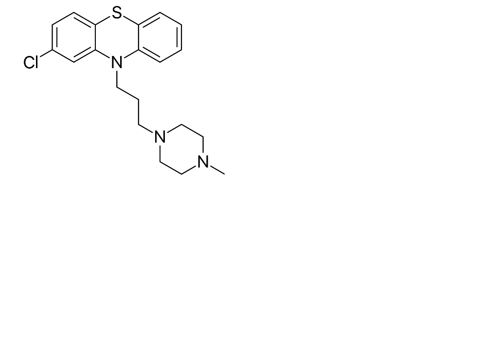
   Kemisk struktur  

Næsedråber
Kompatibilitet   Næsedråber   Kompatibilitet : Prochlorperazine edysilate              
Ingen data

  Mentions Légales