Utolsó frissítés :
18/03/2026
Hányáscsillapító   Prochlorperazine edysilate  
orrcseppek
Injekció
Stabilitása gyógyszerészeti készítmények A keverékek stabilitása Stabilitást befolyásoló tényezők Kompatibilitás Irodalom pdf
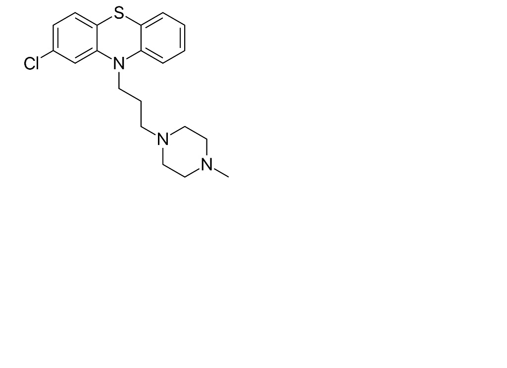
   Kémiai szerkezet   

orrcseppek
Kompatibilitás   orrcseppek   Kompatibilitás : Prochlorperazine edysilate              
Hiányzó adat

  Mentions Légales