Laatste update :
18/03/2026
Anti-emeticum   Prochlorperazine edysilate  
neusdruppels
injecteerbaar geneesmiddel
Stabiliteit van farmaceutische preparaten Stabiliteit in mengsels Factoren die de stabiliteit beïnvloeden Verenigbaarheden Literatuur pdf
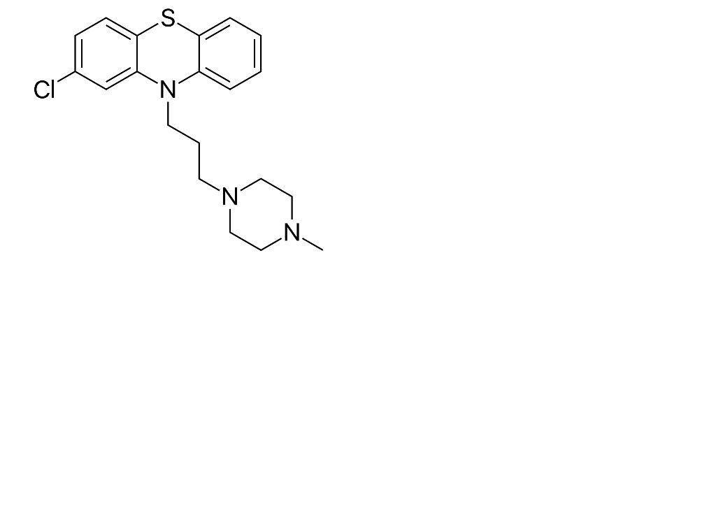
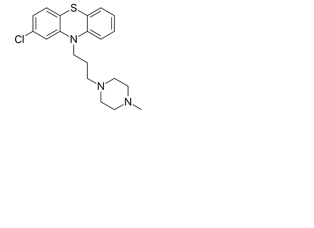
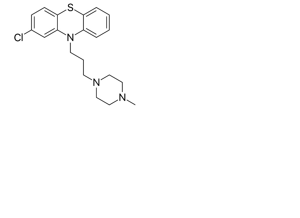
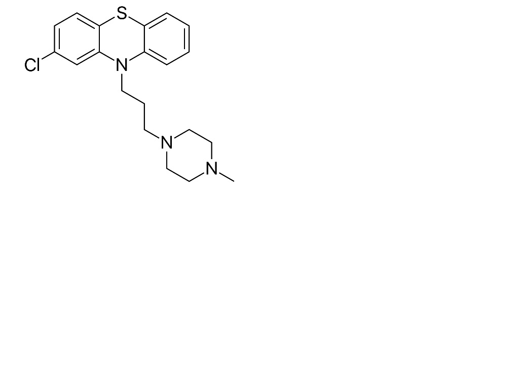
   Molecuulstructuur  

neusdruppels
Verenigbaarheden   neusdruppels   Verenigbaarheden : Prochlorperazine edysilate              
geen gegevens

  Mentions Légales