Ultimo aggiornamento :
18/03/2026
Antiemetico   Prochlorperazine edysilate  
gocce nasali
Iniezione
Stabilità dei preparati farmaceutici Stabilità in miscela Fattori che influenzano la stabilità Compatibilità Bibliografia pdf
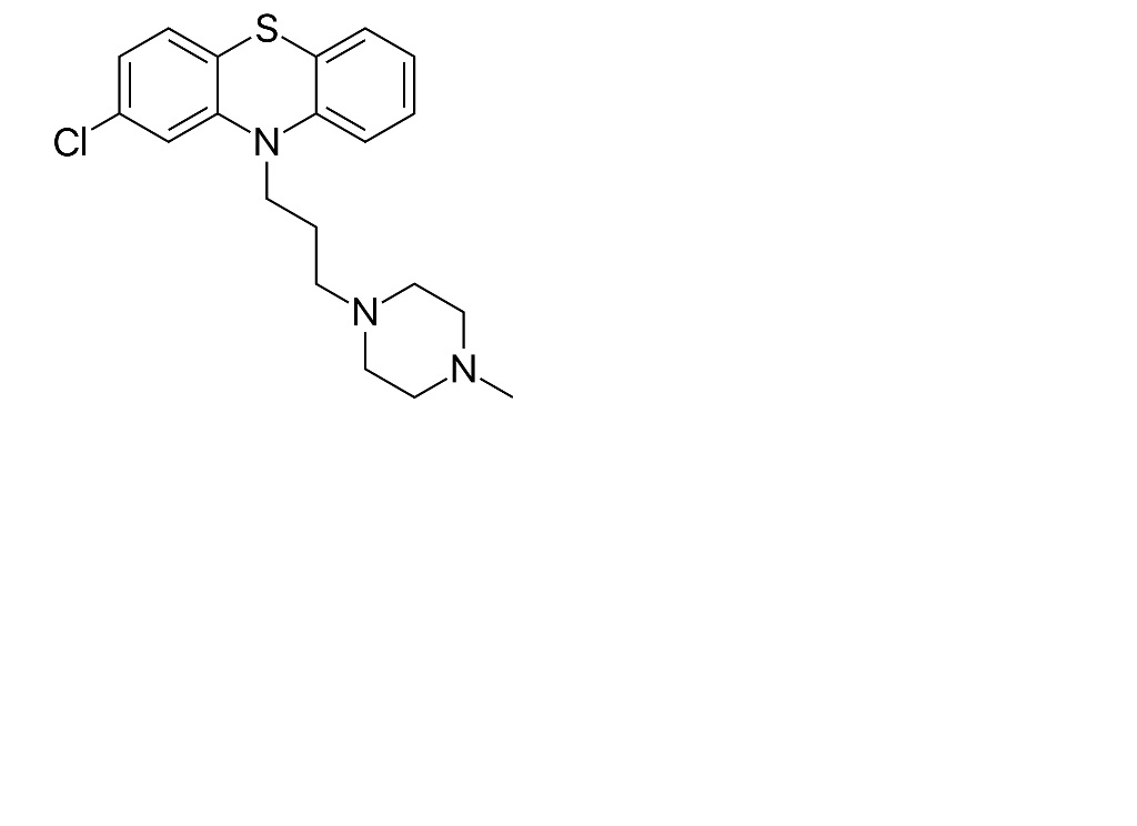
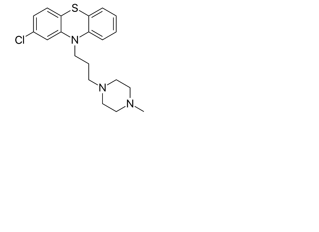
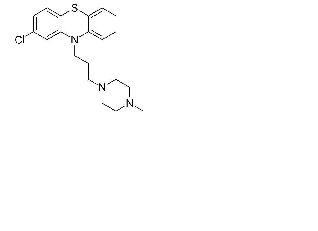
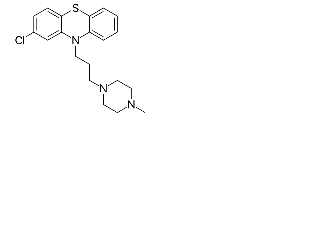
   Struttura chimica  

gocce nasali
Compatibilità   gocce nasali   Compatibilità : Prochlorperazine edysilate              
Assenza di dati

  Mentions Légales